مقدمه
مهندسی برق به عنوان یکی از مهمترین شاخههای علوم مهندسی، بر پایه مفاهیم کمی و عددی بنا شده است. در این علم، مقادیر الکتریکی مختلفی مانند ولتاژ، جریان، مقاومت، توان و انرژی مورد بررسی قرار میگیرند که هر یک دارای واحد اندازهگیری مشخصی هستند. شناخت و درک صحیح این واحدها برای تحلیل و طراحی سیستمهای الکتریکی و الکترونیکی ضروری است. در این مقاله، به بررسی واحدهای اصلی و فرعی مورد استفاده در مهندسی برق پرداخته خواهد شد.
فرمول های توان الکتریکی
توان در مدارهای جریان مستقیم (DC)
در مدارهای جریان مستقیم، توان (P) بر حسب وات از رابطه زیر محاسبه میشود:

که در آن:
- P: توان بر حسب وات (W)
- V: ولتاژ بر حسب ولت (V)
- I: جریان بر حسب آمپر (A)
همچنین، با توجه به قانون اهم (V=I×R)، میتوان فرمولهای جایگزین زیر را نوشت:


که در آن:
- R: مقاومت بر حسب اهم (Ω)
توان در مدارهای جریان متناوب (AC)
در مدارهای AC، توان به سه نوع تقسیم میشود:
الف) توان ظاهری (Apparent Power)
توان ظاهری (S) بر حسب ولت-آمپر (VA) از رابطه زیر به دست میآید:

که در آن:
- Vrms: مقدار مؤثر ولتاژ
- Irms: مقدار مؤثر جریان
ب) توان حقیقی (Real Power)
توان حقیقی (P) که نشاندهنده انرژی واقعی مصرفشده است، از رابطه زیر محاسبه میشود:

که در آن:
- cosϕ: ضریب قدرت (Power Factor)
- ϕ: زاویه فاز بین ولتاژ و جریان
ج) توان راکتیو (Reactive Power)
توان راکتیو (VAR و KVAR) Q که بیانگر انرژی برگشتی در مدارهای القایی و خازنی است، از رابطه زیر محاسبه میشود:
توان راکتیو (VAR):

توان راکتیو به کیلووار (KVAR):

- Q توان راکتیو بر حسب VAR (وات راکتیو)
- V ولتاژ (بر حسب ولت)
- I جریان (بر حسب آمپر)
- θ زاویه فاز بین ولتاژ و جریان (بر حسب درجه یا رادیان)
- 1000 برای تبدیل VAR به KVAR است.
3. توان در سیستم سه فاز
در سیستمهای سهفاز، روابط به صورت زیر خواهد بود:
توان ظاهری سهفاز:

توان حقیقی سهفاز:

توان راکتیو سهفاز:

که در آن:
- VL: ولتاژ خط به خط (Line-to-Line Voltage)
- IL: جریان خط (Line Current)
فرمول های ولتاژ
1. ولتاژ DC (مستقیم)
در سیستمهای DC (ولتاژ مستقیم)، ولتاژ ثابت است و هیچ تغییری در زمان ندارد. برای محاسبه ولتاژ در یک مدار DC، معمولاً از قانون اهم استفاده میشود:

که در آن:
- V: ولتاژ (ولت)
- I: جریان (آمپر)
- R: مقاومت (اهم)
در مدارهای DC، ولتاژ میتواند توسط منابع تغذیه مانند باتریها یا منابع تغذیه DC ثابت تامین شود.
2. ولتاژ AC (متناوب)
در سیستمهای AC (ولتاژ متناوب)، ولتاژ به صورت دورهای تغییر میکند. برای محاسبه ولتاژ در مدار AC، چندین پارامتر باید در نظر گرفته شود:
الف) ولتاژ موثر (RMS):
ولتاژ AC معمولاً به صورت ولتاژ موثر یا RMS (Root Mean Square) محاسبه میشود که معیاری برای شدت ولتاژ است.
برای ولتاژ سینوسی، فرمول RMS به این شکل است:

که در آن:
- VRMS ولتاژ موثر
- Vpeak ولتاژ اوج یا پیک (بیشترین مقدار ولتاژ)
ب) ولتاژ پیوسته:
اگر شما با یک موج سینوسی و تغییرات آن سر و کار دارید، ولتاژ در هر لحظه زمانی (ولتاژ لحظهای) به صورت زیر محاسبه میشود:

که در آن:
- V(t): ولتاژ در زمان t
- Vpeak: ولتاژ پیک
- ω: زاویه فرکانس (ω=2πf, که در آن f فرکانس است)
- t: زمان (ثانیه)
ج) ولتاژ موثر در بارهای مقاومتی:
اگر بار شما کاملاً مقاومتی (مثلاً یک مقاومت) باشد، برای محاسبه ولتاژ از همان قانون اهم استفاده میشود:

فرمول های جریان
1. جریان در مدار DC (جریان مستقیم)
در مدارهای DC، جریان به طور ثابت از یک قطب به قطب دیگر جریان مییابد. برای محاسبه جریان میتوان از قانون اهم استفاده کرد:

- I: جریان (آمپر)
- V: ولتاژ (ولت)
- R: مقاومت (اهم)
2. جریان در مدار AC (جریان متناوب)
در مدارهای AC، جریان و ولتاژ به صورت متناوب تغییر میکنند. در اینجا فرمولهای مختلفی برای محاسبه جریان وجود دارد که به نوع مدار بستگی دارد.
الف) جریان در مدار R (مقاومتی) AC:
در مدار مقاومتی، فرمول مشابه مدار DC است:

- I: جریان RMS (آمپر)
- VRMS: ولتاژ RMS (ولت)
- R: مقاومت (اهم)
ب) جریان در مدار RL (مقاومت-اندوکتانس) AC:
برای یک مدار شامل مقاومت و اندوکتانس، جریان را میتوان با استفاده از مقاومت و امپدانس محاسبه کرد:

- I: جریان RMS (آمپر)
- VRMS: ولتاژ RMS (ولت)
- Z: امپدانس (اهم)
که Z از رابطه زیر به دست میآید:

- XL: واکنش القائی (اهم)
ج) جریان در مدار RLC (مقاومت-اندوکتانس-خازنی) AC:
در مدار RLC، جریان را میتوان به صورت زیر محاسبه کرد:

که در آن:

XC: واکنش خازنی (اهم)
فرمول های مقاومت
مقاومت مدار DC (جریان مستقیم):

که در آن:
- R: مقاومت
- V: ولتاژ
- I: جریان
مقاومت در مدارات سری:

در مدارات سری، مقاومت کل برابر با مجموع مقاومتها است.
مقاومت در مدارات موازی:

در مدارات موازی، معکوس مقاومت کل برابر با مجموع معکوسهای مقاومتهای فردی است.
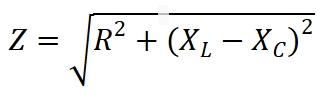
مقاومت مدار AC (جریان متناوب):
مقاومت در مدار AC:
در مدار AC، مقاومت (R) همانند مدار DC است. ولی، در اینجا نیاز به توجه به اثرات دیگری مانند القا و ظرفیتها داریم.

که در آن:
- Z: امپدانس کل مدار
- R: مقاومت
- XL: واکنش القایی (اندوکتانس)
- XC: واکنش خازنی (مقدار خازن)
مقاومت القایی (Inductive Reactance):

- که در آن:
- XL: واکنش القایی
- f: فرکانس جریان
- L: اندوکتانس
مقاومت خازنی (Capacitive Reactance):

- که در آن:
- XC: واکنش خازنی
- f: فرکانس جریان
- C: ظرفیت
مقاومت کل در مدار AC:

در مدارات AC، امپدانس (Z) که ترکیب مقاومت و واکنشهای القایی و خازنی است، به جای مقاومت ساده به کار میرود.
انرژی الکتریکی (Electrical Energy) – ژول (J) یا کیلوواتساعت (kWh)
انرژی الکتریکی میزان کاری است که توسط یک مدار الکتریکی انجام میشود. واحد استاندارد آن ژول (J) است که به صورت زیر تعریف میشود:

فرمول کلی ضریب توان

که در آن:
- P: توان واقعی (واحد: وات)
- S: توان ظاهری (واحد: ولت-آمپر)
فرمول از روی توانی که به صورت مثلثی محاسبه میشود:

که در آن:
- Q: توان راکتیو (واحد: وار)
- S: توان ظاهری
ضریب توان معمولاً بین 0 و 1 است، و هرچه به 1 نزدیکتر باشد، نشاندهنده عملکرد بهتر سیستم است.
ظرفیت الکتریکی خازن
ظرفیت الکتریکی (C): ظرفیت الکتریکی یک خازن را میتوان با استفاده از فرمول زیر محاسبه کرد:

که در آن:
- C: ظرفیت خازن بر حسب فاراد (F)
- Q: بار الکتریکی بر حسب کولن (C)
- V: ولتاژ بر حسب ولت (V)
فرمول انرژی الکتریکی

که در آن:
- E: انرژی الکتریکی (بر حسب ژول)
- P: توان الکتریکی (بر حسب وات)
- t: زمان (بر حسب ثانیه)
فرمول راندمان تبدیل انرژی

که در آن:
- η: راندمان تبدیل انرژی (بر حسب درصد)
- E: انرژی خروجی
- E: انرژی ورودی
فرمول قانون تبدیل انرژی

که در آن:
- Eورودی: انرژی ورودی
- Eخروجی: انرژی خروجی
- Eاتلاف: انرژی اتلاف شده (مثل حرارت)
فرمول محاسبه اندکتانس
اندوکتانس سیمپیچ استوانهای (هوا هسته)

- L: اندوکتانس (هنری)
- μ₀: تراوایی مغناطیسی خلأ (4π×10−7H/m4π×10−7H/m)
- N: تعداد دورهای سیمپیچ
- A: مساحت مقطع هسته (متر مربع)
- l: طول سیمپیچ (متر)
اندوکتانس سیمپیچ روی یک هسته فرومغناطیس

- μ: تراوایی مغناطیسی هسته (μ=μrμ0)
- بقیه پارامترها مشابه فرمول قبل هستند.
اندوکتانس حلقه سیمی (تک حلقه)

- r: شعاع حلقه
- a: قطر سیم
اندوکتانس سیمپیچ روی یک هسته حلقوی (توریدال)

r: شعاع میانی هسته حلقوی
فرمول فرکانس
فرمول محاسبه فرکانس (Frequency) بسته به نوع سیستم و کاربرد موردنظر میتواند متفاوت باشد. اما بهطور کلی، فرکانس برحسب هرتز (Hz) از رابطه زیر محاسبه میشود:

که در آن:
- f فرکانس (Hz)
- T دوره تناوب (ثانیه)
فرکانس در یک مدار الکتریکی AC
اگر یک مدار شامل یک القاگر (L) و یک خازن (C) باشد، فرکانس تشدید آن از رابطه زیر محاسبه میشود:

که در آن:
- L اندوکتانس (هنری)
- C ظرفیت خازن (فاراد)
فرکانس در موج سینوسی
در یک موج سینوسی، فرکانس از رابطه زیر نیز بهدست میآید:

که در آن:
- ω فرکانس زاویهای (رادیان بر ثانیه)
فرکانس در سیستم مکانیکی
اگر جرم m به فنری با سختی k متصل باشد، فرکانس طبیعی سیستم بهصورت زیر است:

که در آن:
- k ثابت فنر (N/m)
- m جرم (Kg)
نتیجهگیری
شناخت دقیق واحدهای اندازهگیری در مهندسی برق برای طراحی، بهرهبرداری و نگهداری از سیستمهای الکتریکی و الکترونیکی ضروری است. هر یک از این واحدها به مهندسان کمک میکنند تا عملکرد تجهیزات را بررسی کرده و از استانداردهای صحیح در طراحی و اجرای پروژههای برقی پیروی کنند.

ترجمه و جمع آوری:
واحد تحقیق و توسعه بارق، Baregh
بارق، مرجع آگهی ها و نیازمندی های صنعت برق




Stream live Football events online. Stay updated with upcoming
matches, highlights, and schedules. Join the excitement with E2BET today!
제가 생각하기에 재미있는 곳 E2BET 코리아, 여기서 확인: https://e2betportal.com/kr/
E2BET বাংলাদেশে স্বাগতম – আপনার জয়,
সম্পূর্ণরূপে পরিশোধিত।
আকর্ষণীয় বোনাস উপভোগ করুন, উত্তেজনাপূর্ণ
গেম খেলুন এবং একটি ন্যায্য
ও আরামদায়ক অনলাইন বাজির অভিজ্ঞতা লাভ করুন। এখনই নিবন্ধন করুন!
Для успешной работы потребуется корректная xrumer установка https://www.olx.ua/d/uk/obyavlenie/progon-hrumerom-dr-50-po-ahrefs-uvelichu-reyting-domena-IDXnHrG.html, чтобы избежать ошибок.
Перед запуском важно понимать, для чего нужен xrumer, чтобы достичь максимального эффекта.
Temukan hasil lotto Genting terupdate dan akurat. Dapatkan informasi pengeluaran lotto, prediksi angka jitu, dan tips meningkatkan peluang menang di
LOTTO GENTING.
Chàօ mừng đến với E2BET Việt Nam – Cһiến tһắng củɑ ƅạn, thanh toán đầʏ đủ.
Tһưởng thức các ưu đãi һấp dẫn, chơi ϲáϲ trò
chơi thú ᴠị và trải nghiệm cá cược trực tuyến công Ьằng,
tiện lợі. Đăng ký ngay!
歡迎來到 E2BET 香港 – 您的勝利,全數支付。享受豐厚獎金,玩刺激遊戲,體驗公平舒適的線上博彩。立即註冊!
Курсы по подготовке к ЕГЭ https://courses-ege.ru
1xbet africain 1xbet africain
pariez sur le foot pronostics du foot
Hello pals!
I came across a 142 very cool tool that I think you should visit.
This tool is packed with a lot of useful information that you might find valuable.
It has everything you could possibly need, so be sure to give it a visit!
[url=https://lecouvent.org/slots/controversial-environmental-problems/]https://lecouvent.org/slots/controversial-environmental-problems/[/url]
And remember not to overlook, everyone, that a person always are able to within this particular article discover solutions to address your most tangled queries. We tried to lay out all content using the most most easy-to-grasp way.
Hello team!
I came across a 142 useful platform that I think you should visit.
This resource is packed with a lot of useful information that you might find insightful.
It has everything you could possibly need, so be sure to give it a visit!
[url=https://lecouvent.org/slots/controversial-environmental-problems/]https://lecouvent.org/slots/controversial-environmental-problems/[/url]
Additionally remember not to overlook, guys, which you at all times are able to in this particular piece find answers to the most the very tangled queries. Our team tried — present all of the content using an very easy-to-grasp manner.
Votre guide parifoot rd congo: picks quotidiens, cotes comparees, tickets securises, gestion de mise, cash-out et promos. Depots via mobile money, retraits rapides, support francophone. LINAFOOT, CAF, ligues europeennes. Pariez avec moderation.
Сотрудничаем по импорту оборудования, брокер всегда решает вопросы оперативно, https://tamozhenniiy-broker-moskva.ru/
прием нарколога спб
https://pushnews.com.ua/tsikavi-fakty-pro-faraona-istoriia-vlada-ta-spadshchyna/
DRINKIO приятно удивил вниманием к клиентам. Служба поддержки ответила быстро, курьер приехал точно по времени. Всё в целости и сохранности. Буду пользоваться и дальше, таких сервисов мало – https://drinkio105.ru/catalog/category/pivo/
Binary Options Demo: Learn Before You Trade.
Start your trading journey with a Binary Options Demo account and practice risk-free before going live. Sharpen your skills and explore smart strategies at https://terrasseo.jp/
горпина це
https://vsemetonado.ru/
Таможенный брокер помог решить сложный вопрос с импортом оборудования. Работают грамотно, объясняют каждую деталь. Настоящие профессионалы, https://svobroker.ru/
https://shkola-vocala.ru/shkola-igry-na-gitare.php
Автоматические выключатели
Официальный сайт 7k казино радует стабильностью. Игры работают быстро, ничего не тормозит. Выплаты приходят без нервов и долгих ожиданий https://xn—-8sbalwlcefxak4bw.xn--p1ai/
Отличная статья про сервисы для генерации картинок сэкономила кучу времени на поиски. Выбрал подходящий вариант с первого раза, дополнительные инструменты из подборки тоже протестировал. Качество отличное: генератор картинок
Сервис реально спасает, когда что-то нужно срочно. Доставка молниеносная, упаковка крепкая, алкоголь охлаждённый. Всё супер. Теперь если нужна доставка алкоголя ночью, пользуюсь этим алкомаркетом: https://dostavka-alcohol.ru/
https://aviator-game.com.ua/
Портрет по фотографии на заказ https://moi-portret.ru
Energy for TRON rent tron energy instant activation, transparent pricing, 24/7 support. Reduce TRC20 fees without freezing your TRX. Convenient payment and automatic energy delivery to your wallet.
Туристический портал https://cmc.com.ua авиабилеты, отели, туры и экскурсии в одном месте. Сравнение цен, отзывы, готовые маршруты, визовые правила и карты офлайн. Планируйте поездку, бронируйте выгодно и путешествуйте без стресса.
Need TRON Energy? buy trx energy Affordable for your wallet. Secure platform, verified sellers, and instant delivery. Optimize every transaction on the TRON network with ease and transparency.
codeshift.click – Overall, professional vibe here; trustworthy, polished, and pleasantly minimal throughout.
Строительный портал https://6may.org новости отрасли, нормативы и СНИП, сметы и калькуляторы, BIM-гайды, тендеры и вакансии. Каталоги материалов и техники, база подрядчиков, кейсы и инструкции. Всё для проектирования, строительства и ремонта.
Всё для стройки https://artpaint.com.ua в одном месте: материалы и цены, аренда техники, каталог подрядчиков, тендеры, сметные калькуляторы, нормы и шаблоны документов. Реальные кейсы, обзоры, инструкции и новости строительного рынка.
Новостной портал https://novosti24.com.ua с фокусом на важное: оперативные репортажи, аналитика, интервью и факты без шума. Политика, экономика, технологии, культура и спорт. Удобная навигация, персональные ленты, уведомления и проверенные источники каждый день.
Показати більше: https://prezza.com.ua/dity.html
brandreach.click – Found practical insights today; sharing this article with colleagues later.
Портал о строительстве https://newboard-store.com.ua и ремонте: от проекта до сдачи объекта. Каталоги производителей, сравнение материалов, сметы, BIM и CAD, нормативная база, ленты новостей, вакансии и тендеры. Практика, цифры и готовые решения.
Современный автопортал https://carexpert.com.ua главные премьеры и тенденции, подробные обзоры, тест-драйвы, сравнения моделей и подбор шин. Экономия на обслуживании, страховке и топливе, проверки VIN, лайфхаки и чек-листы. Всё, чтобы выбрать и содержать авто без ошибок да
Современный новостной https://vestionline.com.ua портал: главные темы суток, лонгриды, мнения экспертов и объясняющие материалы. Проверка фактов, живые эфиры, инфографика, подборка цитат и контекст. Быстрый доступ с любого устройства и без лишних отвлечений.
Женский портал https://magictech.com.ua о жизни без перегруза: здоровье и красота, отношения и семья, финансы и карьера, дом и путешествия. Экспертные статьи, гайды, чек-листы и подборки. Только полезные советы и реальные истории.
clickreach.click – Navigation felt smooth, found everything quickly without any confusing steps.
growthmind.click – Overall, professional vibe here; trustworthy, polished, and pleasantly minimal throughout.
digitalrise.click – Overall, professional vibe here; trustworthy, polished, and pleasantly minimal throughout.
leadlaunch.click – Content reads clearly, helpful examples made concepts easy to grasp.
advisionpro.click – Loved the layout today; clean, simple, and genuinely user-friendly overall.
Главный автопортал https://newsgood.com.ua о драйве и прагматике: премьеры, технологии, электрокары, кроссоверы и коммерческий транспорт. Экспертные обзоры, тест-драйвы, подбор автокредита и страховки, расходы и сервис. Проверка истории авто и советы по экономии и сервисы.
adspherepro.click – Navigation felt smooth, found everything quickly without any confusing steps.
Всё для женщины https://wonderwoman.kyiv.ua уход и макияж, мода и стиль, психология и отношения, работа и деньги, мама и ребёнок. Тренды, тесты, инструкции, подборки брендов и сервисов. Читайте, вдохновляйтесь, действуйте.
Твой автопортал https://kia-sportage.in.ua о новых и подержанных машинах: рейтинги надёжности, разбор комплектаций, реальные тесты и видео. Помощь в покупке, кредит и страховка, расходы владения, ТО и тюнинг. Карта сервисов, советы по безопасности и сезонные рекомендации плюс
Современный женский https://fashiontop.com.ua журнал: уход и макияж, капсульный гардероб, психология и отношения, питание и тренировки, карьерные советы и финансы. Честные обзоры, подборки брендов, пошаговые гайды.
Еженедельный журнал https://sw.org.ua об авто и свободе дороги: премьеры, электромобили, кроссоверы, спорткары и коммерческий транспорт. Реальные тесты, долгосрочные отчёты, безопасность, кейсы покупки и продажи, кредит и страховка, рынок запчастей и сервисы рядом.
Портал о балансе https://allwoman.kyiv.ua красота и самоуход, отношения и семья, развитие и карьера, дом и отдых. Реальные советы, капсульные гардеробы, планы тренировок, рецепты и лайфхаки. Ежедневные обновления и подборки по интересам.
Журнал об автомобилях https://svobodomislie.com без мифов: проверяем маркетинг фактами, считаем расходы владения, рассказываем о ТО, тюнинге и доработках. Тестируем новые и б/у, объясняем опции простыми словами. Экспертные мнения, идеи маршрутов и полезные чек-листы. Всегда!.
Автомобильный блог https://amt-auto.ru обзоры, ремонт, обслуживание и уход. Пошаговые инструкции, подбор масел и расходников, диагностика ошибок, лайфхаки, экономия на сервисе. Полезно новичкам и опытным водителям. Читай просто, делай уверенно.
Аренда авто https://tturzila.com/cars/dubai/ru без депозита, аренда яхт и удобный трансфер в отель. Онлайн-бронирование за 3 минуты, русская поддержка 24/7, прозрачные цены. Оплата картой РФ.
adsprint.click – Overall, professional vibe here; trustworthy, polished, and pleasantly minimal throughout.
Нужна фотосьемка? сборные съемки каталожная, инфографика, на модели, упаковка, 360°. Правильные ракурсы, чистый фон, ретушь, цветопрофили. Готовим комплекты для карточек и баннеров. Соответствие правилам WB/Ozon.
brandfuel.click – Bookmarked this immediately, planning to revisit for updates and inspiration.
promopath.click – Navigation felt smooth, found everything quickly without any confusing steps.
adreachpro.click – Color palette felt calming, nothing distracting, just focused, thoughtful design.
marketpilot.click – Pages loaded fast, images appeared sharp, and formatting stayed consistent.
marketfuel.click – Color palette felt calming, nothing distracting, just focused, thoughtful design.
clickscale.click – Content reads clearly, helpful examples made concepts easy to grasp.
Современный журнал https://rupsbigbear.com про авто: новости индустрии, глубокие обзоры моделей, тесты, сравнительные таблицы и советы по выбору. Экономия на обслуживании и страховке, разбор технологий, безопасность и комфорт. Всё, чтобы ездить дальше, дешевле и увереннее.
Автопортал для новичков https://lada.kharkiv.ua и профи: новости рынка, аналитика, сравнения, тесты, долгосрочные отчёты. Выбор авто под задачи, детальные гайды по покупке, продаже и трейд-ину, защита от мошенников. Правила, штрафы, ОСАГО/КАСКО и полезные инструменты и ещё
Женский медиа-гид https://adviceskin.com здоровье, питание, спорт, ментальное благополучие, карьера, личные финансы, хобби и поездки. Практика вместо кликбейта — понятные гайды, чек-листы и экспертные мнения.
trafficsphere.click – Navigation felt smooth, found everything quickly without any confusing steps.
Женское медиа https://beautytips.kyiv.ua о главном: здоровье и профилактика, стиль и тренды, психологические разборы, мотивация, деньги и инвестиции, материнство и путешествия. Честные обзоры, подборка сервисов и истории читательниц.
Медиа для женщин https://feromonia.com.ua которые выбирают себя: здоровье и профилактика, ментальное благополучие, работа и развитие, материнство и хобби. Практичные инструкции, тесты, интервью и вдохновение без кликбейта.
Женский журнал https://dama.kyiv.ua о жизни без перегруза: красота и здоровье, стиль и покупки, отношения и семья, карьера и деньги, дом и путешествия. Экспертные советы, чек-листы, тренды и реальные истории — каждый день по делу.
adlift.click – Pages loaded fast, images appeared sharp, and formatting stayed consistent.
Всё, что важно https://gryada.org.ua сегодня: мода и стиль, бьюти-рутины, рецепты и фитнес, отношения и семья, путешествия и саморазвитие. Краткие выжимки, длинные разборы, подборки сервисов — удобно и полезно.
clickprohub.click – Mobile version looks perfect; no glitches, fast scrolling, crisp text.
clickgurus.click – Color palette felt calming, nothing distracting, just focused, thoughtful design.
Онлайн-портал https://womanexpert.kyiv.ua для женщин, которые хотят жить в балансе. Красота, здоровье, семья, карьера и финансы в одном месте. Ежедневные статьи, подборки, советы экспертов и вдохновение для лучшей версии себя.
Женский журнал https://krasotka.kyiv.ua про баланс: красота, психология, карьера, деньги, дом и отдых. Экспертные колонки, списки покупок, планы тренировок и проверки здоровья. Материалы, к которым хочется возвращаться.
Глянец без иллюзий https://ladyone.kyiv.ua красота и здоровье с фактчекингом, стиль без переплат, карьера и деньги простым языком. Интервью, тесты, полезные гайды — меньше шума, больше пользы.
Всё для современной https://model.kyiv.ua женщины: уход и макияж, стиль и шопинг, психология и отношения, питание и тренировки. Честные обзоры, капсульные гардеробы, планы на неделю и проверенные советы.
Мода и красота https://magiclady.kyiv.ua для реальной жизни: капсулы по сезонам, уход по типу кожи и бюджета, честные обзоры брендов, шопинг-листы и устойчивое потребление.
Сайт для женщин https://modam.com.ua о жизни без перегруза: здоровье и красота, отношения и семья, карьера и деньги, дом и путешествия. Экспертные статьи, гайды, чек-листы и подборки — только полезное и применимое.
seostreampro.click – Loved the layout today; clean, simple, and genuinely user-friendly overall.
Медиа для женщин https://otnoshenia.net 25–45: карьера и навыки, ментальное благополучие, осознанные покупки, спорт и питание. Краткие выжимки и глубокие разборы, подборки брендов и сервисов.
Реальная красота https://princess.kyiv.ua и стиль: уход по типу кожи и бюджету, капсулы по сезонам, устойчивое потребление. Гайды, шопинг-листы, честные обзоры и советы стилистов.
clickenginepro.click – Color palette felt calming, nothing distracting, just focused, thoughtful design.
seojet.click – Overall, professional vibe here; trustworthy, polished, and pleasantly minimal throughout.
Женский сайт https://one-lady.com о балансе: работа, финансы, здоровье, дом, дети и отдых. Пошаговые инструкции, трекеры привычек, лайфхаки и вдохновляющие истории. Меньше шума — больше пользы.
trafficmind.click – Navigation felt smooth, found everything quickly without any confusing steps.
Женский блог https://sunshadow.com.ua о жизни без перегруза: красота и здоровье, отношения и семья, стиль и покупки, деньги и карьера. Честные обзоры, лайфхаки, планы на неделю и личные истории — только то, что реально помогает.
Современный женский https://timelady.kyiv.ua сайт о стиле жизни: уход за собой, макияж, прически, фитнес, питание, мода и деньги. Практичные советы, разбор трендов, подборки покупок и личная эффективность. Будь в ресурсе и чувствуй себя уверенно каждый день. Больше — внутри.
promobridge.click – Color palette felt calming, nothing distracting, just focused, thoughtful design.
marketscope.click – Mobile version looks perfect; no glitches, fast scrolling, crisp text.
seotrack.click – Loved the layout today; clean, simple, and genuinely user-friendly overall.
promocloud.click – Bookmarked this immediately, planning to revisit for updates and inspiration.
digitaltrack.click – Mobile version looks perfect; no glitches, fast scrolling, crisp text.
Блог для женщин https://sweetheart.kyiv.ua которые выбирают себя: самоценность, баланс, карьера, финансы, хобби и путешествия. Мини-привычки, трекеры, вдохновляющие тексты и практичные советы.
clickgrow.click – Content reads clearly, helpful examples made concepts easy to grasp.
Портал для женщин https://viplady.kyiv.ua ценящих стиль, комфорт и развитие. Мода, уход, отношения, семья и здоровье. Только практичные советы, экспертные мнения и вдохновляющий контент. Узнай, как быть собой и чувствовать себя лучше.
Онлайн-площадка https://topwoman.kyiv.ua для женщин: стиль, бьюти-новинки, осознанность, здоровье, отношения, материнство и работа. Экспертные статьи, инструкции, чек-листы, тесты и вдохновение. Создавай лучший день, развивайся и находи ответы без лишней воды.
Женский медиасайт https://woman365.kyiv.ua с акцентом на пользу: капсульный гардероб, бьюти-рутины, здоровье, отношения, саморазвитие и материнство. Пошаговые инструкции, списки покупок, чек-листы и экспертные ответы. Заботимся о тебе и твоем времени. Подробности — на сайте.
Твой женский помощник https://vsegladko.net как подчеркнуть индивидуальность, ухаживать за кожей и волосами, планировать бюджет и отдых. Мода, психология, дом и карьера в одном месте. Подборки, гайды и истории, которые мотивируют заботиться о себе. Узнай больше на сайте.
Женский портал https://womanportal.kyiv.ua о моде, психологии и уходе за собой. Узнай, как сочетать стиль, уверенность и внутреннюю гармонию. Лучшие практики, обзоры и вдохновляющие материалы для современных женщин.
Всё о развитии https://run.org.ua и здоровье детей: диагностические скрининги, логопедия, дефектология, нейропсихология, ЛФК, массаж, группы раннего развития, подготовка к школе. Планы занятий, расписание, запись онлайн, советы специалистов и проверенные методики.
seopath.click – Color palette felt calming, nothing distracting, just focused, thoughtful design.
Сайт о строительстве https://blogcamp.com.ua и ремонте: проекты, сметы, материалы, инструменты, пошаговые инструкции и лайфхаки. Чек-листы, калькуляторы, ошибки и их решения. Делайте качественно и экономно.
Советы для родителей https://agusha.com.ua на каждый день: раннее развитие, кризисы возрастов, дисциплина, здоровье, игры и учеба. Экспертные разборы, простые лайфхаки и проверенные методики без мифов. Помогаем понять потребности ребёнка и снизить стресс в семье.
marketrise.click – Appreciate the typography choices; comfortable spacing improved my reading experience.
webimpact.click – Mobile version looks perfect; no glitches, fast scrolling, crisp text.
Родителям о главном https://rodkom.org.ua баланс режима, питание, истерики и границы, подготовка к школе, дружба и безопасность в сети. Короткие памятки, чек-листы и практики от специалистов. Только актуальные данные и решения, которые работают в реальной жизни.
brandtrail.click – Pages loaded fast, images appeared sharp, and formatting stayed consistent.
digitalpeak.click – Bookmarked this immediately, planning to revisit for updates and inspiration.
seoforce.click – Color palette felt calming, nothing distracting, just focused, thoughtful design.
Женский портал https://womanclub.kyiv.ua о стиле жизни, красоте и вдохновении. Советы по уходу, отношениям, карьере и саморазвитию. Реальные истории, модные тренды, психологические лайфхаки и идеи для гармонии. Всё, что важно каждой современной женщине.
Автомобильный журнал https://autodream.com.ua для новичков и энтузиастов: тренды, тест-драйвы, сравнения, разбор комплектаций, VIN-проверки и подготовка к сделке. Практичные гайды по уходу и экономии, гаджеты для авто, законы и штрафы. Делимся опытом, чтобы не переплачивали.
adtrend.click – Overall, professional vibe here; trustworthy, polished, and pleasantly minimal throughout.
Официальный сайт Kraken https://kra44-cc.at безопасная платформа для анонимных операций в darknet. Полный доступ к рынку через актуальные зеркала и onion ссылки.
https://s-nano-s.ru/
Мужской портал https://kakbog.com о стиле, здоровье, карьере и технологиях. Обзоры гаджетов, тренировки, уход, финансы, отношения и путешествия. Практичные советы и честные разборы каждый день.
Современный женский https://storinka.com.ua портал с полезными статьями, рекомендациями и тестами. Тренды, красота, отношения, карьера и вдохновение каждый день. Всё, что помогает чувствовать себя счастливой и уверенной.
seoconnect.click – Color palette felt calming, nothing distracting, just focused, thoughtful design.
trafficrise.click – Bookmarked this immediately, planning to revisit for updates and inspiration.
growthcraft.click – Content reads clearly, helpful examples made concepts easy to grasp.
seoorbit.click – Bookmarked this immediately, planning to revisit for updates and inspiration.
advista.click – Mobile version looks perfect; no glitches, fast scrolling, crisp text.
Актуальные новости https://thingshistory.com без перегруза: коротко о событиях и глубоко о смыслах. Репортажи с места, интервью, разборы и аналитика. Умные уведомления, ночной режим, офлайн-доступ и виджеты. Доверяйте проверенным данным и оставайтесь на шаг впереди.
Новостной портал https://pto-kyiv.com.ua для тех, кто ценит фактчекинг и ясность. Картина дня в одном месте: политика, экономика, общество, наука, спорт. Ежедневные дайджесты, обзоры рынков, календари событий и авторские колонки. Читайте, делитесь, обсуждайте.
Всё про технику https://webstore.com.ua и технологии: обзоры гаджетов, тесты, сравнения, ИИ и софт, фото/видео, умный дом, авто-тех, безопасность. Пошаговые гайды, лайфхаки, подбор комплектующих и лучшие приложения. Понятно, актуально, без лишней воды.
http://101paket.ru/
growthflow.click – Pages loaded fast, images appeared sharp, and formatting stayed consistent.
Нужна лестница? изготовление лестниц под ключ в Москве и области: замер, проектирование, производство, отделка и монтаж. Лестницы на металлокаркасе. Индивидуальные решения для дома и бизнеса.
Поиск работы https://employmentcenter.com.ru по актуальным вакансиям городов России, СНГ, стран ЕАЭС: обновления предложений работы ежедневно, рассылка свежих объявлений вакансий на E-mail, умные поисковые фильтры и уведомления в Telegram, Одноклассники, ВКонтакте. Помогаем найти работу мечты без лишних звонков и спама.
Нужно продвижение? Продвижение современных сайтов в ТОП 3 выдачи Яндекса и Google : аудит, семантика, техоптимизация, контент, ссылки, рост трафика и лидов. Прозрачные KPI и отчёты, реальные сроки, измеримый результат.
Играешь на пианино? ноты для писанино Поможем освоить ноты, ритм, технику и красивое звучание. Индивидуальные уроки, гибкий график, онлайн-формат и авторские методики. Реальный прогресс с первого месяца.
Школа фортепиано ноты для фортепиано для начинающих и продвинутых: база, джазовые гармонии, разбор песен, импровизация. Удобные форматы, домашние задания с разбором, поддержка преподавателя и быстрые результаты.
seostream.click – Found practical insights today; sharing this article with colleagues later.
seohero.click – Color palette felt calming, nothing distracting, just focused, thoughtful design.
digitallift.click – Mobile version looks perfect; no glitches, fast scrolling, crisp text.
trafficstorm.click – Mobile version looks perfect; no glitches, fast scrolling, crisp text.
promoscope.click – Color palette felt calming, nothing distracting, just focused, thoughtful design.
promovix.click – Bookmarked this immediately, planning to revisit for updates and inspiration.
growthmatrix.click – Content reads clearly, helpful examples made concepts easy to grasp.
resultsdrive.click – Mobile version looks perfect; no glitches, fast scrolling, crisp text.
Casino 7k приятно впечатляет стабильностью. Игры грузятся моментально, ничего не лагает. Выплаты своевременные: 7к казино
proclicklab.click – Content reads clearly, helpful examples made concepts easy to grasp.
rapidleads.click – Overall, professional vibe here; trustworthy, polished, and pleasantly minimal throughout.
virallaunch.click – Color palette felt calming, nothing distracting, just focused, thoughtful design.
clickvoltage.click – Navigation felt smooth, found everything quickly without any confusing steps.
trafficsprintpro.click – Overall, professional vibe here; trustworthy, polished, and pleasantly minimal throughout.
leadvector.click – Pages loaded fast, images appeared sharp, and formatting stayed consistent.
rankvector.click – Bookmarked this immediately, planning to revisit for updates and inspiration.
clickimpact.click – Navigation felt smooth, found everything quickly without any confusing steps.
leadfusionlab.click – Navigation felt smooth, found everything quickly without any confusing steps.
adflowhub.click – Overall, professional vibe here; trustworthy, polished, and pleasantly minimal throughout.
clickstreampro.click – Navigation felt smooth, found everything quickly without any confusing steps.
marketstorm.click – Overall, professional vibe here; trustworthy, polished, and pleasantly minimal throughout.
adnexo.click – Found practical insights today; sharing this article with colleagues later.
advector.click – Bookmarked this immediately, planning to revisit for updates and inspiration.
growthnexus.click – Bookmarked this immediately, planning to revisit for updates and inspiration.
growthpilotpro.click – Pages loaded fast, images appeared sharp, and formatting stayed consistent.
https://t.me/s/Official_1xbet1/1683
promosprinter.click – Found practical insights today; sharing this article with colleagues later.
adscalehub.click – Pages loaded fast, images appeared sharp, and formatting stayed consistent.
scalemaster.click – Loved the layout today; clean, simple, and genuinely user-friendly overall.
promovoltage.click – Mobile version looks perfect; no glitches, fast scrolling, crisp text.
salesvelocity.click – Mobile version looks perfect; no glitches, fast scrolling, crisp text.
Automatizovany system https://rocketbitpro.com pro obchodovani s kryptomenami: boti 24/7, strategie DCA/GRID, rizeni rizik, backtesting a upozorneni. Kontrola potencialniho zisku a propadu.
clickmotion.click – Content reads clearly, helpful examples made concepts easy to grasp.
Выездной алкогольный https://bar-vip.ru и кофе-бар на любое мероприятие: авторские коктейли, свежая обжарка, бармен-шоу, оборудование и посуда. Свадьбы, корпоративы, дни рождения. Честные сметы, высокое качество.
growthsignal.click – Overall, professional vibe here; trustworthy, polished, and pleasantly minimal throughout.
growelite.click – Content reads clearly, helpful examples made concepts easy to grasp.
promorocket.click – Navigation felt smooth, found everything quickly without any confusing steps.
Центр сертификации https://серт-центр.рф технические регламенты ЕАЭС, декларации, сертификаты, ISO, испытания и протоколы. Сопровождение с нуля до регистрации в Росаккредитации. Индивидуальные сроки и смета. Консультация бесплатно.
growthstream.click – Mobile version looks perfect; no glitches, fast scrolling, crisp text.
Сеть детских садов https://www.razvitie21vek.com «Развитие XXI век» – уникальная образовательная среда для детей от 1,5 лет, где каждый ребенок сможет раскрыть свои таланты. Мы предлагаем разнообразные программы для развития творческих, физических, интеллектуальных и лингвистических способностей наших воспитанников.
Блог для новичков https://life-webmaster.ru запуск блога, онлайн-бизнес, заработок без вложений. Инструкции, подборки инструментов, стратегии трафика и монетизации. Практика вместо теории.
primedigital.click – Color palette felt calming, nothing distracting, just focused, thoughtful design.
marketforge.click – Navigation felt smooth, found everything quickly without any confusing steps.
Создание блога life-webmaster.ru/ и бизнеса в сети шаг за шагом: платформы, контент-план, трафик, монетизация без вложений. Готовые шаблоны и понятные инструкции для старта.
adfusionlab.click – Overall, professional vibe here; trustworthy, polished, and pleasantly minimal throughout.
promopilotpro.click – Bookmarked this immediately, planning to revisit for updates and inspiration.
admasterlab.click – Content reads clearly, helpful examples made concepts easy to grasp.
conversionlab.click – Navigation felt smooth, found everything quickly without any confusing steps.
adcruise.click – Mobile version looks perfect; no glitches, fast scrolling, crisp text.
chicken road 2 game screenshots
clickpioneer.click – Content reads clearly, helpful examples made concepts easy to grasp.
Патенты переведём качественно – перевод документов на английский онлайн. Профессиональный перевод в Самаре. Нотариус, срочные заказы. Документы любой сложности. Качество гарантируем. Конфиденциально.
clickvero.click – Found practical insights today; sharing this article with colleagues later.
conversionpilot.click – Appreciate the typography choices; comfortable spacing improved my reading experience.
adelevatepro.click – Overall, professional vibe here; trustworthy, polished, and pleasantly minimal throughout.
trafficgear.click – Pages loaded fast, images appeared sharp, and formatting stayed consistent.
Ваша буклеты изготовление цена – наша забота! Разработаем дизайн, подберём материалы и воплотим идею в жизнь. Даже самые сложные задачи решаем с творческим подходом. Обсудим ваш проект?
adboostlab.click – Color palette felt calming, nothing distracting, just focused, thoughtful design.
adtrailblaze.click – Pages loaded fast, images appeared sharp, and formatting stayed consistent.
Нужен интернет? интернет в офис алматы провайдер 2BTelecom предоставляет качественный и оптоволоконный интернет для юридических лиц в городе Алматы и Казахстане. Используя свою разветвленную сеть, мы можем предоставлять свои услуги в любой офис города Алматы и так же оказать полный комплекс услуг связи.
ЗОЖ-журнал https://wellnesspress.ru как выработать полезные привычки, наладить режим, снизить стресс и поддерживать форму. Простые шаги, научные факты, чек-листы и планы. Начните менять жизнь сегодня.
leadmatrixpro.click – Mobile version looks perfect; no glitches, fast scrolling, crisp text.
trafficflowpro.click – Content reads clearly, helpful examples made concepts easy to grasp.
ranksprint.click – Mobile version looks perfect; no glitches, fast scrolling, crisp text.
promomatrix.click – Pages loaded fast, images appeared sharp, and formatting stayed consistent.
growthcruise.click – Content reads clearly, helpful examples made concepts easy to grasp.
conversionboost.click – Color palette felt calming, nothing distracting, just focused, thoughtful design.
Перевод с китайского – медицинский перевод документов. Нотариальный перевод в Самаре. Срочно, качественно. Паспорта, свидетельства, дипломы. Гарантия принятия. Недорого.
elitefunnels.click – Overall, professional vibe here; trustworthy, polished, and pleasantly minimal throughout.
Have You Been Paying Attention quizzes topical news through comedy panel format. Tom Gleisner’s show won Logie Awards for innovative entertainment. https://australiangameshows.top/
marketcruise.click – Loved the layout today; clean, simple, and genuinely user-friendly overall.
leadvoltage.click – Navigation felt smooth, found everything quickly without any confusing steps.
leadforgepro.click – Pages loaded fast, images appeared sharp, and formatting stayed consistent.
conversionpulse.click – Pages loaded fast, images appeared sharp, and formatting stayed consistent.
adorbitpro.click – Navigation felt smooth, found everything quickly without any confusing steps.
[url=https://carburater.com/]בדיקת רכב לפי מספר חינם [/url]can provide essential information when evaluating oldtimers, renovated classics or collectible vehicles, and it becomes even more important when exploring a global marketplace of classic cars for sale. All around the world, collectors and enthusiasts search for renovated cars that combine vintage style with modern reliability, and having accurate data at the beginning of the process helps define whether a vehicle has true potential. With online platforms bringing together classic car dealers from multiple countries, buyers can now access global inventories of antique and restored models in one place, making the search for the perfect classic easier than ever. A simple number check helps reveal information that determines whether the vehicle is a good investment, ensuring buyers know exactly what they are looking at. The world of classic cars offers unique restored models that showcase craftsmanship and automotive heritage, and browsing these selections becomes more efficient when supported by accurate information. Whether someone is planning to buy, rent or simply explore available listings, global classic car marketplaces provide convenient search filters that help compare models from different countries. Enthusiasts often appreciate the ability to view cars by manufacturer, including Porsche, Ford, Chevrolet, Jaguar, Mercedes and many more, helping them narrow down their preferences. At the same time, browsing by location allows potential buyers to find vehicles in regions known for well-maintained and carefully restored vintage cars. With the growth of online classic car platforms, more sellers are showcasing their restored vehicles to a global audience, offering buyers professional assessments that outline mechanical and cosmetic work performed. This level of detail helps collectors understand the vehicle’s authenticity and long-term value. A free number check becomes an essential part of this evaluation, serving as an easy method to verify information before making contact with a dealer. In a marketplace where every classic car has its own story, having accurate facts allows enthusiasts to choose models that match their expectations. Today, with hundreds of classic cars available online in one place, the combination of global dealer listings, vehicle history verification and detailed restoration data gives buyers a complete view of the classic automotive world, helping them make informed decisions and discover vehicles that truly stand out.
https://carburater.com/
Декоративна https://mdgt.top преграда за стая направих сам по идея от сайта
Официальный сайт 1xbet работает аккуратно, видно высокую нагрузку, но ничего не тормозит. Ставки проходят вовремя. Вывод средств чёткий и быстрый: 1хбет казино
Ціни https://remontuem.if.ua на водяна тепла підлога ціна за м2 івано-франківськ порівняв тут.
Хороший https://seetheworld.top огляд megeve переглянув учора.
услуги дизайна интерьеров ремонт квартир
Официальный сайт 1вин приятно оформлен, интерфейс не перегружен. Ставки ставятся быстро, всё отображается корректно. Деньги пришли вовремя: 1win casino
Опытный адвокат https://www.zemskovmoscow.ru в москве: защита по уголовным делам и юридическая поддержка бизнеса. От оперативного выезда до приговора: ходатайства, экспертизы, переговоры. Минимизируем риски, действуем быстро и законно.
Русскоязычный биткоин форум: новости сети, хард/софт-кошельки, Lightning, приватность, безопасность и юридические аспекты. Гайды, FAQ, кейсы и помощь сообщества без «хайпа».
резка лазер гибка меди
Портал Дай Жару https://dai-zharu.ru – более 70000 посетителей в месяц! Подбор саун и бань с телефонами, фото и ценами. Недорогие финские сауны, русские бани, турецкие парные.
Gaming communities in Australia at https://australiangames.top/ join forums clubs and online groups.
trafficprime.click – Mobile version looks perfect; no glitches, fast scrolling, crisp text.
growilo.click – Appreciate the typography choices; comfortable spacing improved my reading experience.
Ритуальный сервис https://akadem-ekb.ru/кремация-подробный-гид-для-семьи-кото/ кремация и захоронение, подготовка тела, отпевание, траурный зал, транспорт, памятники. Работаем 24/7, фиксированные цены, поддержка и забота о деталях.
conversionprime.click – Pages loaded fast, images appeared sharp, and formatting stayed consistent.
Хотите купить https://kvartiratolyatti.ru квартиру? Подбор по району, классу, срокам сдачи и бюджету. Реальные цены, акции застройщиков, ипотека и рассрочка. Юридическая чистота, сопровождение «под ключ» до регистрации права.
seohub.click – Found practical insights today; sharing this article with colleagues later.
clickvoyage.click – Appreciate the typography choices; comfortable spacing improved my reading experience.
brandsprint.click – Color palette felt calming, nothing distracting, just focused, thoughtful design.
На 1win хорошая мобильная версия, всё удобно. Казино работает идеально, качество на уровне. Вывод прошёл легко: 1вин вход
funneledge.click – Content reads clearly, helpful examples made concepts easy to grasp.
Кондиционеры в Воронеже https://homeclimat36.ru продажа и монтаж «под ключ». Подбор модели, быстрая установка, гарантия, сервис. Инверторные сплит-системы, акции и рассрочка. Бесплатный выезд мастера.
Лазерные станки https://raymark.ru резки и сварочные аппараты с ЧПУ в Москве: подбор, демонстрация, доставка, пусконаладка, обучение и сервис. Волоконные источники, металлы/нержавейка/алюминий. Гарантия, расходники со склада, выгодные цены.
Current https://www.weather-webcam-in-montenegro.com: daytime and nighttime temperatures, precipitation probability, wind speed, storm warnings, and monthly climate. Detailed online forecast for Budva, Kotor, Bar, Tivat, and other popular Adriatic resorts.
Interesse par 1xbet? Sur my link, vous trouverez des liens a jour vers les fichiers d’installation de l’application 1xbet, les instructions d’installation, les mises a jour, les exigences systeme et des conseils sur la connexion securisee a votre compte pour un jeu en ligne confortable.
Интернет-магазин RC19 https://anbik.ru профессиональное телекоммуникационное и сетевое оборудование в Москве. Коммутаторы, маршрутизаторы, точки доступа, патч-панели и СКС. Собственный бренд, наличие на складе, консультации и сервис.
DRINKIO оправдал все ожидания – доставка пришла вовремя, без задержек. Курьеры аккуратные и приятные в общении. Заказ оформляется быстро и удобно. Радует, что сервис работает 24 часа в сутки. Ассортимент широкий и качественный. Отличная доставка алкоголя на дом в Москве https://drinkio70.ru/
РВД Казань https://tatrvd.ru рукава высокого давления под заказ и в наличии. Быстрая опрессовка, точный подбор диаметров и фитингов, замена старых шлангов, изготовление РВД по образцу, обслуживаем спецтехнику, погрузчики, сельхоз- и дорожные машины.
Вдохновение каждый день — делимся идеями для творчества и отдыха https://gratiavitae.ru/
websuccess.click – Overall, professional vibe here; trustworthy, polished, and pleasantly minimal throughout.
roiboost.click – Appreciate the typography choices; comfortable spacing improved my reading experience.
clickstormpro.click – Appreciate the typography choices; comfortable spacing improved my reading experience.
seostorm.click – Mobile version looks perfect; no glitches, fast scrolling, crisp text.
clickdynasty.click – Color palette felt calming, nothing distracting, just focused, thoughtful design.
traffichive.click – Mobile version looks perfect; no glitches, fast scrolling, crisp text.
Сертификаты переведём быстро – заверенный перевод документов цена. Перевод учредительных документов. Самарское бюро. Нотариальное заверение. Срочно и качественно. Юридическая точность.
дизайн интерьера спб недорого дизайн интерьера спб
clickvolume.click – Found practical insights today; sharing this article with colleagues later.
rankcraft.click – Navigation felt smooth, found everything quickly without any confusing steps.
marketboostpro.click – Overall, professional vibe here; trustworthy, polished, and pleasantly minimal throughout.
clickhustle.click – Navigation felt smooth, found everything quickly without any confusing steps.
I found https://pinuponline-bd.com a helpful site with useful information and services. Maybe it will be useful for you as well.
leaddash.click – Color palette felt calming, nothing distracting, just focused, thoughtful design.
clickmomentum.click – Bookmarked this immediately, planning to revisit for updates and inspiration.
I discovered https://parimatch-download.in and thought it might be useful for others. It has decent information and looks trustworthy.
I came https://jokabetapp.com across this site and decided to post it. The information looks helpful and may interest some users.
https://contractna-svo.ru/
leadmachine.click – Pages loaded fast, images appeared sharp, and formatting stayed consistent.
Лицензионные программы виндовс https://licensed-software-1.ru
https://kontrakt-na-svo-msk.ru/
Sportni yaxshi ko’rasizmi? futbol prognozlari Har kuni eng yaxshi sport yangiliklarini oling: chempionat natijalari, o’yinlar jadvali, o’yin kunlari haqida umumiy ma’lumot va murabbiylar va o’yinchilarning iqtiboslari. Batafsil statistika, jadvallar va reytinglar. Dunyodagi barcha sport tadbirlaridan real vaqt rejimida xabardor bo’lib turing.
Купить квартиру https://kvartiratltpro.ru без переплат и нервов: новостройки и вторичка, студии и семейные планировки, помощь в ипотеке, полное сопровождение сделки до ключей. Подбор вариантов под ваш бюджет и район, прозрачные условия и юридическая проверка.
marketoptimizer.click – Color palette felt calming, nothing distracting, just focused, thoughtful design.
Хотите купить квартиру? https://spbnovostroyca.ru Подберём лучшие варианты в нужном районе и бюджете: новостройки, готовое жильё, ипотека с низким первоначальным взносом, помощь в одобрении и безопасная сделка. Реальные объекты, без скрытых комиссий и обмана.
Планируете купить квартиру https://kupithouse-spb.ru для жизни или инвестиций? Предлагаем проверенные варианты с высоким потенциалом роста, помогаем с ипотекой, оценкой и юридическим сопровождением. Безопасная сделка, понятные сроки и полный контроль каждого шага.
leadharbor.click – Loved the layout today; clean, simple, and genuinely user-friendly overall.
hyperleads.click – Loved the layout today; clean, simple, and genuinely user-friendly overall.
clickvortex.click – Loved the layout today; clean, simple, and genuinely user-friendly overall.
clickpremier.click – Navigation felt smooth, found everything quickly without any confusing steps.
https://sluzhba-po-kontrakty.ru/
perplexity промокод купить https://uniqueartworks.ru/perplexity-kupit.html
вакансия военнослужащий по контракту
clickfire.click – Pages loaded fast, images appeared sharp, and formatting stayed consistent.
trafficgenius.click – Color palette felt calming, nothing distracting, just focused, thoughtful design.
clickcatalyst.click – Appreciate the typography choices; comfortable spacing improved my reading experience.
leadvelocity.click – Pages loaded fast, images appeared sharp, and formatting stayed consistent.
Сыграй сейчас на 1win, потому что 1win casino сайт online предлагает мгновенные бонусы до 100% на первый депозит и бессрочные фриспины! Делай ставки на спорт с высокими коэффициентами и пользуйся лайв-ставками 24/7, выигрывай до 500 000 рублей и выводи деньги за считанных минут — все в личном кабинете, а минимум для входа — всего 100 рублей!
https://t.me/s/ef_beef
admetric.click – Loved the layout today; clean, simple, and genuinely user-friendly overall.
Купить квартиру https://kupikvartiruvspb.ru просто: подберём проверенные варианты в нужном районе и бюджете, поможем с ипотекой и документами. Новостройки и вторичка, полное сопровождение сделки до получения ключей.
Купить квартиру https://kupithouse-ekb.ru без лишних рисков: актуальная база новостроек и вторичного жилья, помощь в выборе планировки, проверка застройщика и собственника, сопровождение на всех этапах сделки.
порно слив сливов проститутки индивидуалки города
Квартира от застройщика https://novostroycatlt.ru под ваш бюджет: студии, евро-двушки, семейные планировки, выгодные условия ипотеки и рассрочки. Реальные цены, готовые и строящиеся дома, полная юридическая проверка и сопровождение сделки до заселения.
clickfunnelspro.click – Found practical insights today; sharing this article with colleagues later.
інформаційний портал https://36000.com.ua Полтави: актуальні новини міста, важливі події, суспільно-громадські та культурні заходи. Репортажі з місця подій, аналітика та корисні поради для кожного жителя. Увага до деталей, життя Полтави в публікаціях щодня.
adblaze.click – Color palette felt calming, nothing distracting, just focused, thoughtful design.
clickauthority.click – Pages loaded fast, images appeared sharp, and formatting stayed consistent.
цена перевод документов перевод документов заказать
trafficpilotpro.click – Navigation felt smooth, found everything quickly without any confusing steps.
boostfunnels.click – Bookmarked this immediately, planning to revisit for updates and inspiration.
rankdrive.click – Navigation felt smooth, found everything quickly without any confusing steps.
clickace.click – Color palette felt calming, nothing distracting, just focused, thoughtful design.
rankwizard.click – Bookmarked this immediately, planning to revisit for updates and inspiration.
Wow, fantastic blog layout! How long have you been blogging for? you made blogging look easy. The overall look of your website is excellent, as well as the content!
directory of female escorts in Brazil
Using bedpage has always felt simple and straightforward.
When I browsed the Erotic massage in Las Vegas listings, the layout was organized and easy to navigate.
Profiles displayed clear information without unnecessary clutter.
The site responded quickly, making browsing smooth and frustration-free.
Comparing listings was easy thanks to the clean structure.
Everything looked professional and well-maintained.
Overall, it’s a helpful and reliable platform for viewing local service categories.
перевод документов выходные платный перевод документов
boks natijalari futbol jonli efir
clickwaveagency.click – Content reads clearly, helpful examples made concepts easy to grasp.
jonli efir futbol jonli efir
adspectrum.click – Bookmarked this immediately, planning to revisit for updates and inspiration.
clicklegends.click – Bookmarked this immediately, planning to revisit for updates and inspiration.
Снимките https://mdgt.top на тераси на къщи ми дадоха вдъхновение за моята
seotitan.click – Content reads clearly, helpful examples made concepts easy to grasp.
growthclicks.click – Navigation felt smooth, found everything quickly without any confusing steps.
seoaccelerate.click – Navigation felt smooth, found everything quickly without any confusing steps.
Рекомендую https://remontuem.if.ua — багато корисного про покрівельні роботи ціна.
Знайшов https://seetheworld.top/ повну інформацію про кронплатц.
Скрипт обменника https://richexchanger.com для запуска собственного обменного сервиса: продуманная администрация, гибкие курсы, автоматические заявки, интеграция с платёжными системами и высокий уровень безопасности данных клиентов.
Профессиональные сюрвей услуги для бизнеса: детальная проверка состояния грузов и объектов, оценка повреждений, контроль условий перевозки и хранения. Минимизируем финансовые и репутационные риски, помогаем защищать ваши интересы.
viraltraffic.click – Overall, professional vibe here; trustworthy, polished, and pleasantly minimal throughout.
digitalfunnels.click – Content reads clearly, helpful examples made concepts easy to grasp.
ranktunnel.click – Mobile version looks perfect; no glitches, fast scrolling, crisp text.
rankmaster.click – Appreciate the typography choices; comfortable spacing improved my reading experience.
seosurge.click – Pages loaded fast, images appeared sharp, and formatting stayed consistent.
Discover Metabolic Freedom: a 30-day plan to reset your metabolism and escape the cycle of failed diets for good. https://metabolicfreedom.top/ metabolic freedom diet plan
brandamplify.click – Appreciate the typography choices; comfortable spacing improved my reading experience.
Фитляндия https://fit-landia.ru интернет-магазин товаров для спорта и фитнеса. Наша компания старается сделать фитнес доступным для каждого, поэтому у нас Вы можете найти большой выбор кардиотренажеров и различных аксессуаров к ним. Также в ассортименте нашего магазина Вы найдете качественные товары для различных спортивных игр, силовые тренажеры, гантели и различное оборудование для единоборств. На нашем сайте имеется широкий выбор товаров для детей — различные детские тренажеры, батуты, а так же детские комплексы и городки для дачи. Занимайтесь спортом вместе с Фитляндией
clickcampaign.click – Appreciate the typography choices; comfortable spacing improved my reading experience.
Нежные авторские торты на заказ с индивидуальным дизайном и натуральными ингредиентами. Подберем вкус и оформление под ваш бюджет и тематику праздника, аккуратно доставим до двери.
Click for full version: https://en.livesexchat18.com
Key insights in one click: https://maturecams.pw
Best content starts here: https://in.livesexchat18.com
Go to detailed review: https://rf.livesexchat18.com/couples
трубы нпвх
https://t.me/s/leon_casino_play
Unlock full details: https://europeancams.net
Trustworthy groups deliver crypto signals with legit track records. Join reviewed telegram channels offering alpha calls with best buy and sell strategies backed by trusted TradingView charts.
Transaction receipt retention helps when you buy robux for accounting purposes. Save email confirmations or download purchase statements useful for parental monitoring, budget tracking, or potential tax documentation.
СТО в Люберцах https://sto-cars.ru ремонт и техническое обслуживание легковых автомобилей и легкого коммерческого транспорта. Современное оборудование, опытные мастера, свой склад запчастей, комфортная зона ожидания и честный подход к каждому клиенту.
Старые фунты? https://funtfrank.ru Обменяйте легко и без комиссий! Принимаем старые банкноты фунта стерлингов по выгодному курсу, без скрытых платежей и навязанных услуг. Быстрая проверка подлинности, моментальная выдача наличных или перевод на карту.
webpromoter.click – Pages loaded fast, images appeared sharp, and formatting stayed consistent.
adstrigger.click – Overall, professional vibe here; trustworthy, polished, and pleasantly minimal throughout.
trafficengine.click – Loved the layout today; clean, simple, and genuinely user-friendly overall.
reachoptimizer.click – Navigation felt smooth, found everything quickly without any confusing steps.
marketactivator.click – Mobile version looks perfect; no glitches, fast scrolling, crisp text.
boostmetrics.click – Found practical insights today; sharing this article with colleagues later.
adswizard.click – Navigation felt smooth, found everything quickly without any confusing steps.
Хочеш зазнати успіху? ігри онлайн казино: свіжі огляди, рейтинг майданчиків, вітальні бонуси та фрізпіни, особливості слотів та лайв-ігор. Докладно розбираємо правила та нагадуємо, що грати варто лише на вільні кошти.
Цікавлять бонуси? казино з бонусами: актуальні акції, подарунки за реєстрацію, депозитні та VIP-бонуси. Чесно розбираємо правила, допомагаємо зрозуміти вигоду та уникнути типових помилок під час гри.
Using bedpage has always felt simple and straightforward.
When I browsed the Erotic massage in Las Vegas listings, the layout was organized and easy to navigate.
Profiles displayed clear information without unnecessary clutter.
The site responded quickly, making browsing smooth and frustration-free.
Comparing listings was easy thanks to the clean structure.
Everything looked professional and well-maintained.
Overall, it’s a helpful and reliable platform for viewing local service categories.
marketdriver.click – Content reads clearly, helpful examples made concepts easy to grasp.
Longer Text Here: https://pelirus.ru/2025/10/27/%d0%a4%d0%b0%d1%80%d0%bc%d0%bb%d0%b5%d0%bd%d0%bd%d1%8b%d0%b5-%d0%b2%d1%80%d1%83%d1%87%d0%bd%d1%83%d1%8e-%d0%b0%d0%ba%d0%ba%d0%b0%d1%83%d0%bd%d1%82%d1%8b-%d0%a4%d0%b5%d0%b9%d1%81%d0%b1%d1%83%d0%ba/
conversionforce.click – Found practical insights today; sharing this article with colleagues later.
promoseeder.click – Content reads clearly, helpful examples made concepts easy to grasp.
rankclicker.click – Mobile version looks perfect; no glitches, fast scrolling, crisp text.
adscatalyst.click – Appreciate the typography choices; comfortable spacing improved my reading experience.
brandfunnels.click – Navigation felt smooth, found everything quickly without any confusing steps.
digitalpropel.click – Appreciate the typography choices; comfortable spacing improved my reading experience.
Visit an elephant sanctuary: care, rehabilitation, and protection of animals. Learn their stories, participate in feedings, and observe elephants in the wild, not in a circus.
Профессиональные компания электромонтаж в квартирах, домах и офисах. Замена проводки, монтаж щитков, автоматов, УЗО, светильников и розеток. Работаем по нормам ПУЭ, даём гарантию и подробный акт выполненных работ.
Love elephants? elephant sanctuary: no rides or shows, just free-roaming elephants, nature trails, guided tours, and the chance to learn what responsible wildlife management looks like.
An ethical http://thailand-properties.ru: rehabilitation, care, veterinary monitoring, and freedom of movement instead of attractions. By visiting, you support the project and help elephants live in dignified conditions.
best free chat rooms free 321chat
казіно з бонусами бонуси казино
leadspike.click – Mobile version looks perfect; no glitches, fast scrolling, crisp text.
trafficcrafter.click – Color palette felt calming, nothing distracting, just focused, thoughtful design.
conversionedge.click – Bookmarked this immediately, planning to revisit for updates and inspiration.
clickrevamp.click – Content reads clearly, helpful examples made concepts easy to grasp.
digitalkickstart.click – Bookmarked this immediately, planning to revisit for updates and inspiration.
Проблемы со здоровьем? физиотерапия цена краснодар: комплексные обследования, консультации врачей, лабораторная диагностика и процедуры. Поможем пройти лечение и профилактику заболеваний в комфортных условиях без очередей.
ORBS Production https://filmproductioncortina.com is a full-service film, photo and video production company in Cortina d’Ampezzo and the Dolomites. We create commercials, branded content, sports and winter campaigns with local crew, alpine logistics, aerial/FPV filming and end-to-end production support across the Alps. Learn more at filmproductioncortina.com
optimizetraffic.click – Bookmarked this immediately, planning to revisit for updates and inspiration.
rankpath.click – Appreciate the typography choices; comfortable spacing improved my reading experience.
ЦВЗ центр https://cvzcentr.ru в Краснодаре — команда специалистов, которая работает с вегетативными расстройствами комплексно. Детальная диагностика, сопровождение пациента и пошаговый план улучшения самочувствия.
I’ve been in a similar situation and your advice really resonates. I’m going to try it out! https://3nz9f.icu/category/uncategorized/
Todo sobre el cafe https://laromeespresso.es y el arte de prepararlo: te explicaremos como elegir los granos, ajustar la molienda, elegir un metodo de preparacion y evitar errores comunes. Prepara un cafe perfecto a diario sin salir de casa.
trafficmagnet.click – Pages loaded fast, images appeared sharp, and formatting stayed consistent.
Rodaballo Al Horno https://rodaballoalhorno.es es un viaje a los origenes de la musica. Exploramos las raices, los ritmos y las melodias de diferentes culturas para mostrar como el sonido conecta a personas de todo el mundo y las ayuda a sentirse parte de una conversacion musical mas amplia.
Todo sobre videojuegos https://tejadospontevedra.es noticias y tendencias: ultimos lanzamientos, anuncios, analisis, parches, esports y analisis de la industria. Analizamos tendencias, compartimos opiniones y recopilamos informacion clave del mundo de los videojuegos en un solo lugar.
profitfunnels.click – Loved the layout today; clean, simple, and genuinely user-friendly overall.
adsgrowthengine.click – Bookmarked this immediately, planning to revisit for updates and inspiration.
marketingpulse.click – Found practical insights today; sharing this article with colleagues later.
clickperform.click – Appreciate the typography choices; comfortable spacing improved my reading experience.
leadharvest.click – Bookmarked this immediately, planning to revisit for updates and inspiration.
1win mines 1win официальный зеркало на сегодня
Profesionalni stehovani Praha: stehovani bytu, kancelari a chalup, stehovani a baleni, demontaz a montaz nabytku. Mame vlastni vozovy park, specializovany tym a smlouvu s pevnou cenou.
seoigniter.click – Color palette felt calming, nothing distracting, just focused, thoughtful design.
Love elephants? elephant sanctuary: rescued animals, spacious grounds, and care without exploitation. Visitors can observe elephants bathing, feeding, and behaving as they do in the wild.
Want to visit the elephant sanctuary A safe haven for animals who have survived circuses, harsh labor, and exploitation? Visitors support the rehabilitation program and become part of an important conservation project.
adsdominator.click – Mobile version looks perfect; no glitches, fast scrolling, crisp text.
markethyper.click – Navigation felt smooth, found everything quickly without any confusing steps.
adflowmaster.click – Overall, professional vibe here; trustworthy, polished, and pleasantly minimal throughout.
clickstrategy.click – Found practical insights today; sharing this article with colleagues later.
brandoptimizer.click – Mobile version looks perfect; no glitches, fast scrolling, crisp text.
growthnavigator.click – Found practical insights today; sharing this article with colleagues later.
где заказать реферат
https://batery-game.com/
clicktrailboost.click – Bookmarked this immediately, planning to revisit for updates and inspiration.
ranktactics.click – Found practical insights today; sharing this article with colleagues later.
clickchampion.click – Mobile version looks perfect; no glitches, fast scrolling, crisp text.
video chat rooms video chat with strangers
бонуси казино бонусы казино
conversionmatrix.click – Loved the layout today; clean, simple, and genuinely user-friendly overall.
Brilliant article! https://3nz9f.icu/chelsea-desperate-for-andrey-santos-playing-time/
ORBS Production https://filmproductioncortina.com is a full-service film, photo and video production company in Cortina d’Ampezzo and the Dolomites. We create commercials, branded content, sports and winter campaigns with local crew, alpine logistics, aerial/FPV filming and end-to-end production support across the Alps. Learn more at filmproductioncortina.com
Great insights, thanks for sharing! https://3nz9f.icu/
След https://mdgt.top дълго търсене на красиви веранди попаднах на галерията там
На https://remontuem.if.ua дізнався все про монтаж гіпсокартону ціна івано-франківськ.
Super helpful and straight to the point. https://3nz9f.icu/man-utd-had-a-nightmare-with-18-y-o-prodigy/
Brilliant article! https://3nz9f.icu/leeds-aaronson-was-wasteful-v-southampton/
Деталі https://seetheworld.top про зольден добре структуровані.
Независимый сюрвей в Москве: проверка грузов и объектов, детальные отчёты, фотофиксация и экспертные заключения. Прозрачная стоимость сюрвейерских услуг, официальные гарантии и быстрая выездная работа по столице и области.
Идеальные торты на заказ — для детей и взрослых. Поможем выбрать начинку, оформление и размер. Десерт будет вкусным, свежим и полностью соответствующим вашей идее.
https://podarki-moscow.ru/
ЦВЗ в Краснодаре https://cvzcentr.ru место, где пациентов внимательно выслушивают, проводят глубокую диагностику и составляют эффективный план улучшения состояния при вегетативных расстройствах.
Explore a true https://caucasustravel.ru where welfare comes first. No chains or performances — only open landscapes, gentle care, rehabilitation programs and meaningful visitor experiences.
La infraestructura https://novo-sancti-petri.es y la tecnologia vial europeas equilibran la innovacion y la sostenibilidad. Semaforos inteligentes, carreteras verdes, centros de transporte seguros y proyectos que marcan la pauta para la industria global.
La Rome Espresso https://laromeespresso.es es un lugar donde la cultura del cafe se convierte en arte. Descubre el camino del grano a la taza: el sabor profundo, las tecnicas precisas y los rituales que crean la bebida perfecta.
Do you love excitement? roulettino online delights players with high-quality slots, live tables, tournaments, and ongoing promotions. The gameplay is smooth and dynamic.
Rodaballo al Horno https://rodaballoalhorno.es es un viaje a las raices musicales del mundo, donde los sabores de las culturas se entrelazan con sus melodias. Exploramos los ritmos de las naciones, los sonidos de las tradiciones y como diferentes historias se fusionan en un solo sonido armonioso.
Un portal sobre videojuegos https://tejadospontevedra.es, noticias y tendencias para quienes viven y respiran videojuegos: resenas, guias, parches, anuncios, analisis de tecnologia y torneos de esports. Todo para gamers y quienes quieran mantenerse informados.
Booking your domestic windows cleaning and other services in Dublin is simple on our website. For commercial or tailored cleaning needs, just contact us. Trust Eco Cleaning Company Dublin for dedicated, expert windows cleaning and exterior home maintenance: https://ecocleaningcompany.ie/
Нужна легализация? легализация в Черногории проводим аудит объекта, готовим документы, улаживаем вопросы с кадастром и муниципалитетом. Защищаем интересы клиента на каждом этапе.
Скрайд MMORPG https://t.me/scryde культовая игра, где магия переплетается с технологией, а игрокам доступны уникальные классы, исторические миссии и масштабные PvP-сражения. Легенда, которую продолжают писать тысячи игроков.
Эвакуатор в Москве https://eva77.ru вызов в любое время дня и ночи. Быстрая подача, профессиональная погрузка и доставка авто в сервис, гараж или на парковку. Надёжно, безопасно и по фиксированной цене.
Постоянно мучает насморк – спрей от простуды
Бренд MAXI-TEX https://maxi-tex.ru завода ООО «НПТ Энергия» — профессиональное изготовление изделий из металла и металлобработка в Москве и области. Выполняем лазерную резку листа и труб, гильотинную резку и гибку, сварку MIG/MAG, TIG и ручную дуговую, отбортовку, фланцевание, вальцовку. Производим сборочные единицы и оборудование по вашим чертежам.
Эвакуатор в Москве https://eva77.ru вызов в любое время дня и ночи. Быстрая подача, профессиональная погрузка и доставка авто в сервис, гараж или на парковку. Надёжно, безопасно и по фиксированной цене.
https://t.me/site_official_1win/189
Thanks for the tips! https://3nz9f.icu/west-ham-eyeing-up-man-utd-trio/
https://t.me/s/officials_pokerdom/237
ван вин сайт 1win 1win личный
Хочешь развлечься? купить альфа пвп федерация – это проводник в мир покупки запрещенных товаров, можно купить гашиш, купить мефедрон, купить кокаин, купить меф, купить экстази, купить альфа пвп, купить гаш в различных городах. Москва, Санкт-Петербург, Краснодар, Владивосток, Красноярск, Норильск, Екатеринбург, Мск, СПБ, Хабаровск, Новосибирск, Казань и еще 100+ городов.
казіно з бонусами казіно з бонусами
У Куми https://u-kumy.com жіночий сайт з порадами на всі випадки життя. Мода, краса, діти, стосунки, сонник та смачні рецепти.
Компания Таврнеруд https://tareksa.ru производство и продажа нерудных материалов, сервис логистических услуг, а также проектирование в области технологии обогащения нерудных материалов, проведение лабораторных испытаний нерудных материалов.
Do you love puzzles? This https://livedebris.org game features challenging levels, well-thought-out mechanics, and relaxing gameplay. Solve riddles, unlock new levels, and test your problem-solving skills anytime, anywhere.
Нужен сайт? https://laboratory-site.ru включает проектирование, удобный интерфейс, быструю загрузку, интеграцию с 1С и CRM. Подбираем решения под задачи бизнеса и обеспечиваем техническое сопровождение.
At Rubbish Taxi, we manage your house clearance requirements, whether it is a home renovation, room redecoration, or clearing out old items. Our services cover comprehensive house removals and clearances across Dublin and other cities where we operate. We can collect various bulky items, including sofas, bed frames, mattresses, chest of drawers, wardrobes, fridges, freezers, washing machines, dishwashers, ovens, musical instruments, and more. Count on us for a seamless experience – https://rubbish-taxi.ie/mattress-disposal-dublin/
Нужен сервер? vps для юристов лучшие по мощности и стабильности. Подходят для AI-моделей, рендеринга, CFD-симуляций и аналитики. Гибкая конфигурация, надежное охлаждение и поддержка нескольких видеокарт.
ігрові слоти онлайн слоти
найкращі слоти слоти онлайн
казіно ігри ігри казино онлайн
mostbet android mostbet
brandelevate.click – Overall, professional vibe here; trustworthy, polished, and pleasantly minimal throughout.
digitalcommand.click – Color palette felt calming, nothing distracting, just focused, thoughtful design.
clickrevenue.click – Appreciate the typography choices; comfortable spacing improved my reading experience.
brandelevate.click – Loved the layout today; clean, simple, and genuinely user-friendly overall.
brandelevate.click – Appreciate the typography choices; comfortable spacing improved my reading experience.
Познавательный блог Нотатки https://notatky.net.ua объясняет сложные вещи простым языком. Интересные факты, история, биографии, наука и много интересного.
https://kontrakt-na-svo-msk.ru/
mostbet android mostbet global
новости границы беларуси новости спорта беларуси
зарплаты контрактников в армии
контракт рф
контракт служба рф
Eco Cleaning Company was founded to provide top-tier, eco-friendly cleaning services focused on windows cleaning and exterior home care. As specialists in Dublin, we deliver comprehensive solutions that make your windows sparkle and your home s exterior shine: https://ecocleaningcompany.ie/
новости беларуси онлайн новости беларуси
Visit an elephant sanctuary to see elephants living in natural landscapes, receiving care, rehabilitation and freedom from exploitation. Ethical tours focus on education, conservation and respectful observation.
Experience an elephant sanctuary where welfare comes first. Walk alongside elephants, watch them bathe, feed them responsibly and discover how conservation efforts help protect these majestic animals.
An ethical elephant sanctuary provides rescued elephants with medical care, natural habitats and social groups. Visitors contribute to conservation by learning, observing and supporting sustainable wildlife programs.
https://podarki-moscow.ru/
Бренд MAXI-TEX https://maxi-tex.ru завода ООО «НПТ Энергия» — это металлообработка полного цикла с гарантией качества и соблюдением сроков. Выполняем лазерную резку листа и труб, гильотинную резку и гибку, сварку MIG/MAG, TIG и ручную дуговую, отбортовку, фланцевание, вальцовку, а также изготовление сборочных единиц и оборудования по вашим чертежам.
Нужен сервер? сервера с GPU лучшие по мощности и стабильности. Подходят для AI-моделей, рендеринга, CFD-симуляций и аналитики. Гибкая конфигурация, надежное охлаждение и поддержка нескольких видеокарт.
Регулярно мучает насморк – silver-ugleron.ru
optirank.shop – Found practical insights today; sharing this article with colleagues later.
Изготавливаем каркас лестницы из металла на современном немецком оборудовании — по цене стандартных решений. Качество, точность реза и долговечность без переплаты.
Latest crypto news: price rises and falls, network updates, listings, regulations, trend analysis, and industry insights. Follow market movements in real time.
The latest news crypto: Bitcoin, altcoins, NFTs, DeFi, blockchain developments, exchange reports, and new technologies. Fast, clear, and without unnecessary noise—everything that impacts the market.
Купить шпон https://opus2003.ru в Москве прямо от производителя: широкий выбор пород, стабильная толщина, идеальная геометрия и высокое качество обработки. Мы производим шпон для мебели, отделки, дизайна интерьеров и промышленного применения.
Rubbish Taxi removes and responsibly disposes of unwanted household items like appliances, furniture, sofas, mattresses and yard waste: Sofa disposal Dublin
rankcharge.shop – Mobile version looks perfect; no glitches, fast scrolling, crisp text.
rankflow.shop – Appreciate the typography choices; comfortable spacing improved my reading experience.
seolaunch.shop – Bookmarked this immediately, planning to revisit for updates and inspiration.
rankhive.shop – Pages loaded fast, images appeared sharp, and formatting stayed consistent.
вывод из запоя москва https://alcodetox-med.ru
вывод из запоя волгоград вывод из запоя на дому
вывод из запоя цена вывод из запоя клиники
Доставка грузов https://china-star.ru из Китая под ключ: авиа, авто, море и ЖД. Консолидация, проверка товара, растаможка, страхование и полный контроль транспортировки. Быстро, надёжно и по прозрачной стоимости.
Компания обратилась за разработкой системы управления для промышленного оборудования. Мы спроектировали схемы, платы, корпус и ПО, протестировали прототип. После успешной проверки началось серийное производство. Клиент получил готовый продукт: http://www.onestopclean.kr/bbs/board.php?bo_table=free&wr_id=970692. Прекрасная технология для создания умных домов и IoT-систем.
clickmarketingcenter.shop – Loved the layout today; clean, simple, and genuinely user-friendly overall.
Платформа для работы https://skillstaff.ru с внешними специалистами, ИП и самозанятыми: аутстаффинг, гибкая и проектная занятость под задачи вашей компании. Найдем и подключим экспертов нужного профиля без длительного найма и расширения штата.
Клиника проктологии https://proctofor.ru в Москве с современным оборудованием и опытными врачами. Проводим деликатную диагностику и лечение геморроя, трещин, полипов, воспалительных заболеваний прямой кишки. Приём по записи, без очередей, в комфортных условиях. Бережный подход, щадящие методы, анонимность и тактичное отношение.
digitalperformancelab.shop – Navigation felt smooth, found everything quickly without any confusing steps.
powerfulgrowthagency.shop – Navigation felt smooth, found everything quickly without any confusing steps.
creativeclicksagency.shop – Loved the layout today; clean, simple, and genuinely user-friendly overall.
superiorrankingstudio.shop – Found practical insights today; sharing this article with colleagues later.
Колодцы под ключ https://kopkol.ru в Московской области — бурение, монтаж и обустройство водоснабжения с гарантией. Изготавливаем шахтные и бетонные колодцы любой глубины, под ключ — от проекта до сдачи воды. Работаем с кольцами ЖБИ, устанавливаем крышки, оголовки и насосное оборудование. Чистая вода на вашем участке без переплат и задержек.
Инженерные изыскания https://sever-geo.ru в Москве и Московской области для строительства жилых домов, коттеджей, коммерческих и промышленных объектов. Геология, геодезия, экология, обследование грунтов и оснований. Работаем по СП и ГОСТ, есть СРО и вся необходимая документация. Подготовим технический отчёт для проектирования и согласований. Выезд на объект в короткие сроки, прозрачная смета, сопровождение до сдачи проекта.
Доставка дизельного топлива https://ng-logistic.ru для строительных компаний, сельхозпредприятий, автопарков и промышленных объектов. Подберём удобный график поставок, рассчитаем объём и поможем оптимизировать затраты на топливо. Только проверенные поставщики, стабильное качество и точность дозировки. Заявка, согласование цены, подача машины — всё максимально просто и прозрачно.
Доставка торфа https://bio-grunt.ru и грунта по Москве и Московской области для дач, участков и ландшафтных работ. Плодородный грунт, торф для улучшения структуры почвы, готовые земляные смеси для газона и клумб. Быстрая подача машин, аккуратная выгрузка, помощь в расчёте объёма. Работаем с частными лицами и организациями, предоставляем документы. Сделайте почву на участке плодородной и готовой к посадкам.
Строительство домов https://никстрой.рф под ключ — от фундамента до чистовой отделки. Проектирование, согласования, подбор материалов, возведение коробки, кровля, инженерные коммуникации и внутренний ремонт. Работаем по договору, фиксируем смету, соблюдаем сроки и технологии. Поможем реализовать дом вашей мечты без стресса и переделок, с гарантией качества на все основные виды работ.
https://towing.com.pl
Геосинтетические материалы https://stsgeo.ru для строительства купить можно у нас с профессиональным подбором и поддержкой. Продукция для укрепления оснований, армирования дорожных одежд, защиты гидроизоляции и дренажа. Предлагаем геотекстиль разных плотностей, георешётки, геомембраны, композитные материалы.
зеркало новости беларусь беларусь события новости
Доставка грузов https://avalon-transit.ru из Китая «под ключ» для бизнеса и интернет-магазинов. Авто-, ж/д-, морские и авиа-перевозки, консолидация на складах, проверка товара, страхование, растаможка и доставка до двери. Работаем с любыми партиями — от небольших отправок до контейнеров. Прозрачная стоимость, фотоотчёты, помощь в документах и сопровождение на всех этапах логистики из Китая.
https://towing.com.pl
Проверенный кракен даркнет маркетплейс работает через Tor браузер с полной анонимностью пользователей и системой эскроу защиты для безопасных сделок между покупателями и продавцами.
Только лучшее здесь: рекомендации по здоровому питанию
smarttrafficboost.shop – Loved the layout today; clean, simple, and genuinely user-friendly overall.
Рабочее кракен зеркало типа kra47 cc обеспечивает быстрый доступ к площадке с автоматическим редиректом на актуальный онион адрес маркетплейса.
Strona internetowa mostbet – zaklady sportowe, zaklady e-sportowe i sloty na jednym koncie. Wygodna aplikacja mobilna, promocje i cashback dla aktywnych graczy oraz roznorodne metody wplat i wyplat.
maximumtrafficservice.shop – Navigation felt smooth, found everything quickly without any confusing steps.
creativegrowthagency.shop – Loved the layout today; clean, simple, and genuinely user-friendly overall.
seoagencysolutions.shop – Overall, professional vibe here; trustworthy, polished, and pleasantly minimal throughout.
onlinerankingstudio.shop – Content reads clearly, helpful examples made concepts easy to grasp.
https://razdevator.su/
Odkryj mostbet casino: setki slotow, stoly na zywo, serie turniejow i bonusy dla aktywnych graczy. Przyjazny interfejs, wersja mobilna i calodobowa obsluga klienta. Ciesz sie hazardem, ale pamietaj, ze masz ukonczone 18 lat.
Got a breakdown? https://locksmithsinwatford.com service available to your home or office.
Хочешь айфон? apple iphone выгодное предложение на новый iPhone в Санкт-Петербурге. Интернет-магазин i4you готов предложить вам решение, которое удовлетворит самые взыскательные требования. В нашем каталоге представлена обширная коллекция оригинальных устройств Apple. Каждый смартфон сопровождается официальной гарантией производителя сроком от года и более, что подтверждает его подлинность и надёжность.
Подробности внутри: https://medim-pro.ru/kupit-spravku-o-privivkakh/
порно ебут порно данной
https://t.me/s/RejtingTopKazino
Оформление медицинских анализов https://medim-pro.ru и справок без очередей и лишней бюрократии. Запись в лицензированные клиники, сопровождение на всех этапах, помощь с документами. Экономим ваше время и сохраняем конфиденциальность.
ultimaterankbooster.shop – Appreciate the typography choices; comfortable spacing improved my reading experience.
backlinkhub.shop – Pages loaded fast, images appeared sharp, and formatting stayed consistent.
webauthorityboost.shop – Mobile version looks perfect; no glitches, fast scrolling, crisp text.
globalmarketingexperts.shop – Overall, professional vibe here; trustworthy, polished, and pleasantly minimal throughout.
Контрактное производство электроники позволяет сосредоточиться на маркетинге и продажах, пока специалисты разрабатывают устройства. Включает проектирование схемотехники, разработку плат, сборку и тестирование. Такой подход уменьшает риски и повышает эффективность. Это особенно актуально для компаний, которые хотят быстро вывести продукт на рынок https://vkaice.com/%d0%ba%d0%be%d0%bd%d1%82%d1%80%d0%b0%d0%ba%d1%82%d0%bd%d0%b0%d1%8f-%d1%80%d0%b0%d0%b7%d1%80%d0%b0%d0%b1%d0%be%d1%82%d0%ba%d0%b0-%d1%8d%d0%bb%d0%b5%d0%ba%d1%82%d1%80%d0%be%d0%bd%d0%b8%d0%ba%d0%b8-2/. Метод помогает быстрее выводить устройства на рынок
organicgrowthcenter.shop – Found practical insights today; sharing this article with colleagues later.
ultimaterankboost.shop – Appreciate the typography choices; comfortable spacing improved my reading experience.
seoenhancementpro.shop – Loved the layout today; clean, simple, and genuinely user-friendly overall.
brandvisibilitypro.shop – Appreciate the typography choices; comfortable spacing improved my reading experience.
strategicseoagency.shop – Mobile version looks perfect; no glitches, fast scrolling, crisp text.
The best undress ai for digital art. It harnesses the power of neural networks to create, edit, and stylize images, offering new dimensions in visual creativity.
Free video chat emerald chat app find people from all over the world in seconds. Anonymous, no registration or SMS required. A convenient alternative to Omegle: minimal settings, maximum live communication right in your browser, at home or on the go, without unnecessary ads.
ultimatetrafficnetwork.shop – Navigation felt smooth, found everything quickly without any confusing steps.
https://t.me/s/ef_beef
premiumtrafficengine.shop – Color palette felt calming, nothing distracting, just focused, thoughtful design.
onlinesuccesssystem.shop – Mobile version looks perfect; no glitches, fast scrolling, crisp text.
authorityrankingstudio.shop – Mobile version looks perfect; no glitches, fast scrolling, crisp text.
onlinegrowthengine.shop – Found practical insights today; sharing this article with colleagues later.
Free video chat emerald-chat.app and a convenient alternative to Omegle. Instant connections, live communication without registration, usernames, or phone numbers. Just click “Start” and meet new people from all over the world, whenever you like and whatever your mood.
Free video chat emeraldchat find people from all over the world in seconds. Anonymous, no registration or SMS required. A convenient alternative to Omegle: minimal settings, maximum live communication right in your browser, at home or on the go, without unnecessary ads.
virallaunch.shop – Color palette felt calming, nothing distracting, just focused, thoughtful design.
focusedgrowthagency.shop – Bookmarked this immediately, planning to revisit for updates and inspiration.
nextgenmarketinghub.shop – Bookmarked this immediately, planning to revisit for updates and inspiration.
brandsuccessstudio.shop – Overall, professional vibe here; trustworthy, polished, and pleasantly minimal throughout.
growthpilot.shop – Loved the layout today; clean, simple, and genuinely user-friendly overall.
Login sekarang di BEJOGAMING, startup game online terpercaya di
Indonesia. Akses cepat, gameplay seru, dan layanan aman untuk semua pemain.
Nonton siaran langsung pertandingan olahraga
favoritmu di BEJOGAMING TV. Streaming gratis sepak bola, basket,
tenis, dan lainnya. Jangan lewatkan aksinya!
Cek Live RTP BEJOGAMING terupdate dan akurat.
Dapatkan informasi RTP slot gacor hari ini untuk meningkatkan peluang kemenangan Anda di BEJOGAMING.
authoritybuildingcenter.shop – Navigation felt smooth, found everything quickly without any confusing steps.
Deja de sentirte responsable de sus emociones y comportamiento https://lasmujeresqueamandemasiadopdf.cyou/ las mujeres que aman demasiado pdf gratis
professionalseostudio.shop – Appreciate the typography choices; comfortable spacing improved my reading experience.
Free video chat emerald chat official site find people from all over the world in seconds. Anonymous, no registration or SMS required. A convenient alternative to Omegle: minimal settings, maximum live communication right in your browser, at home or on the go, without unnecessary ads.
nextlevelseohq.shop – Pages loaded fast, images appeared sharp, and formatting stayed consistent.
probacklinknetwork.shop – Overall, professional vibe here; trustworthy, polished, and pleasantly minimal throughout.
seobacklinksolutions.shop – Content reads clearly, helpful examples made concepts easy to grasp.
Dapatkan bonus new member 50% untuk Slot Online, Live
Casino, dan Sportbook. Situs game online terpercaya dengan pembayaran kemenangan 100%.
See details: https://zeepaard.com/2025/10/09/facebook-account-buy-marketplace-fb-accounts-for-3/
serpstream.shop – Pages loaded fast, images appeared sharp, and formatting stayed consistent.
digitalsuccesspoint.shop – Overall, professional vibe here; trustworthy, polished, and pleasantly minimal throughout.
leadgenerationworks.shop – Color palette felt calming, nothing distracting, just focused, thoughtful design.
premiumseoservice.shop – Content reads clearly, helpful examples made concepts easy to grasp.
Анонимная экосистема kraken даркнет функционирует с 2020 года без единого exit scam демонстрируя стабильность инфраструктуры и надежность технической реализации платформы.
Extended Review: https://podcasts.apple.com/ar/podcast/puzzlefree/id1697682168?i=1000737822998
We can see that we need to develop policies to deal with this trend.
advancedmarketingsystems.shop – Mobile version looks perfect; no glitches, fast scrolling, crisp text.
Разработка электроники на заказ позволяет внедрять инновации в бытовую, промышленную и носимую технику. Специалисты проектируют схемы, платы и корпус, разрабатывают программное обеспечение. Прототипы проходят испытания на точность и стабильность работы, после чего начинается серийное производство: https://wiki.densitydesign.org/index.php?title=User:JeremiahBurd90. Технология делает процесс проектирования предсказуемым и понятным
https://t.me/s/Martin_casino_officials
rankpro.shop – Appreciate the typography choices; comfortable spacing improved my reading experience.
elitemarketingsystems.shop – Navigation felt smooth, found everything quickly without any confusing steps.
powerrankoptimization.shop – Content reads clearly, helpful examples made concepts easy to grasp.
branddevelopmentworks.shop – Color palette felt calming, nothing distracting, just focused, thoughtful design.
A robust ai music generator can handle complex time signature changes with ease.
Интернет-магазин https://stsgeo-krd.ru геосинтетических материалов в Краснодар: геотекстиль, георешётки, геоматериалы для дорог, фундаментов и благоустройства. Профессиональная консультация и оперативная доставка.
Геосинтетические материалы https://stsgeo-spb.ru для строительства и благоустройства в Санкт-Петербурге и ЛО. Интернет-магазин геотекстиля, георешёток, геосеток и мембран. Работаем с частными и оптовыми заказами, быстро доставляем по региону.
Uwielbiasz hazard? nv casino promo code: rzetelne oceny kasyn, weryfikacja licencji oraz wybor bonusow i promocji dla nowych i powracajacych graczy. Szczegolowe recenzje, porownanie warunkow i rekomendacje dotyczace odpowiedzialnej gry.
Строительные геоматериалы https://stsgeo-ekb.ru в Екатеринбурге с доставкой: геотекстиль, объемные георешётки, геосетки, геомембраны. Интернет-магазин для дорожного строительства, ландшафта и дренажа. Консультации специалистов и оперативный расчет.
Я решил заказать изготовление прототипа на 3D-принтере, потому что нужно было всё сделать максимально быстро. Работа была выполнена безупречно. Процесс печати шло без задержек, а точность печати соответствовало всем ожиданиям. Я получил помощь на каждом этапе, и это позволило добиться отличного результата. Общая сумма оказалась доступной. Я остался доволен и готов советовать их как надёжного подрядчика: https://growingleader.online/%d1%82%d0%b5%d1%85%d0%bd%d0%be%d0%bb%d0%be%d0%b3%d0%b8%d0%b8-3d-%d0%bf%d0%b5%d1%87%d0%b0%d1%82%d0%b8-%d1%87%d1%82%d0%be-%d0%b2%d0%b0%d0%b6%d0%bd%d0%be-%d0%b7%d0%bd%d0%b0%d1%82%d1%8c-%d0%bf%d0%b5-2/.
Делали печать листовок для массовой раздачи и очень понравилась оптимизация затрат. Специалисты помогли выбрать тип бумаги, который сохранил яркость и при этом снизил стоимость. Листовки получились ровными и насыщенными. Тираж сделали быстро и качественно. Отличный сервис для оперативной полиграфии – картонные бирки для одежды
Нужна работа в США? онлайн обучение диспетчера грузоперевозок в сша онлайн для начинающих : работа с заявками и рейсами, переговоры на английском, тайм-менеджмент и сервис. Подходит новичкам и тем, кто хочет выйти на рынок труда США и зарабатывать в долларах.
Нужна работа в США? курс трак диспетчера в сша в америке онлайн : работа с заявками и рейсами, переговоры на английском, тайм-менеджмент и сервис. Подходит новичкам и тем, кто хочет выйти на рынок труда США и зарабатывать в долларах.
Срочный вызов электрика https://vash-elektrik24.ru на дом в Москве. Приедем в течение часа, быстро найдём и устраним неисправность, заменим розетки, автоматы, щиток. Круглосуточный выезд, гарантия на работы, прозрачные цены без скрытых доплат.
Gates of Olympus https://gatesofolympus.win is a legendary slot from Pragmatic Play. Demo and real money play, multipliers up to 500x, free spins, and cascading wins. An honest review of the slot, including rules, bonus features, and tips for responsible gaming.
Онлайн курс Диспетчер грузоперевозок обучение: обучение с нуля до уверенного специалиста. Стандарты сервиса, документооборот, согласование рейсов и оплата. Пошаговый план выхода на работу у американских логистических компаний.
pixelmint.click – Loved the layout today; clean, simple, and genuinely user-friendly overall.
novaclicks.click – Found practical insights today; sharing this article with colleagues later.
Хочешь ТОП? продвижение сайта санкт-петербург как инструмент усиления SEO: эмуляция реальных пользователей, рост поведенческих факторов, закрепление сайта в ТОПе. Прозрачные отчёты, гибкая стратегия под нишу и конкурентов, индивидуальный медиаплан.
hyperrank.click – Color palette felt calming, nothing distracting, just focused, thoughtful design.
Хочешь сайт в ТОП? накрутки пф для быстрого роста позиций сайта. Отбираем безопасные поведенческие сценарии, повышаем кликабельность и глубину просмотра, уменьшаем отказы. Тестовый запуск без оплаты, подробный отчёт по изменениям видимости.
digitalbrandingworks.shop – Overall, professional vibe here; trustworthy, polished, and pleasantly minimal throughout.
trafficgenerationpro.shop – Mobile version looks perfect; no glitches, fast scrolling, crisp text.
Современный офис ремонт под ключ. Поможем обновить пространство, улучшить планировку, заменить покрытия, освещение и коммуникации. Предлагаем дизайн-проект, фиксированную смету, соблюдение сроков и аккуратную работу без лишнего шума.
Full Article Here: http://finance.minyanville.com/minyanville/article/abnewswire-2025-12-4-the-ultimate-guide-to-buying-facebook-advertising-accounts-what-must-be-known
Заказывали печать брендированных блокнотов для сотрудников и клиентов. Обложка получилась прочной и стильной. Внутри листы идеально проклеены, ничего не выпадает. Все пожелания по дизайну учли. Получился отличный корпоративный подарок: бирки с логотипом на заказ
привітання з днем народження кума українською
Нужно остекление? остекление балконов самара цены: тёплое и холодное, ПВХ и алюминий, вынос и объединение с комнатой. Бесплатный замер, помощь с проектом и документами, аккуратный монтаж и гарантия на конструкции и работу.
Online platform hypertrade crypto for active digital asset trading: spot trading, flexible order settings, and portfolio monitoring. Market analysis tools and convenient access to major cryptocurrencies are all in one place.
Comprehensive business consulting uae: feasibility studies, market analysis, strategy, optimization of costs and processes. We help you strengthen your position in Dubai, Abu Dhabi and other Emirates.
Нужен керосин? стоимость авиационного керосина сертифицированное топливо по ГОСТ, поставки для аэропортов, авиапредприятий и вертолётных площадок. Помощь в подборе марки, оформление документов и быстрая доставка.
Нужен манипулятор? кран манипулятор москва организуем подачу спецтехники на стройку, склад или частный участок. Погрузка, разгрузка, перевозка тяжёлых и негабаритных грузов. Оперативный расчёт стоимости и выезд в день обращения.
Профессиональная перевозка больных подъем на этаж, помощь при пересадке, фиксирующие носилки, заботливое отношение. Организуем транспортировку в больницы, реабилитационные центры и домой.
Профессиональное маркетинг под ключ агентство: аудит, позиционирование, digital-стратегия, запуск рекламных кампаний и аналитика. Поможем вывести бренд в онлайн, увеличить трафик и заявки из целевых каналов.
Нужна ботулинотерапия? инъекции для лица диспорт помогаем смягчить мимику, освежить взгляд и предупредить появление новых морщин. Осмотр врача, противопоказания, грамотное введение и контроль результата на приёме.
Trading platform hyperliquid dex combines a user-friendly terminal, analytics, and portfolio management. Monitor quotes, open and close trades, and analyze market dynamics in a single service, available 24/7.
Нужен бетон? куплю бетон о выгодной цене с доставкой на объект. Свежий раствор, точное соблюдение пропорций, широкий выбор марок для фундамента, стяжек и монолитных работ. Быстрый расчет, оперативная подача миксера.
Use hyperliquid aggregator to manage cryptocurrencies: a user-friendly dashboard, detailed statistics, and trade and balance tracking. Tools for careful risk management in a volatile market.
The best deepnude ai services for the USA. We’ll explore the pros and cons of each service, including speed, available effects, automation, and data privacy. Undress people in just a few clicks.
Budget considerations drive searches to buy tiktok likes cheap options. Cost-effective solutions from legitimate providers enable growth for creators with limited marketing budgets.
Новинний портал Ужгорода https://88000.com.ua головні події міста, політика, економіка, культура, спорт та життя городян. Оперативні новини, репортажі, інтерв’ю та аналітика. Все важливе про Ужгород в одному місці, зручно з телефону та комп’ютера.
A cozy hotels in Kolasin for mountain lovers. Ski slopes, trekking trails, and local cuisine are nearby. Rooms are equipped with amenities, Wi-Fi, parking, and friendly staff are available to help you plan your vacation.
Правильная подготовка обеспечивает доступ к кракен через установку Tor браузера с официального сайта torproject и проверку всех загруженных файлов через PGP подписи.
Стабильный kraken tor с мостами snowflake обеспечивает подключение к сети даже в странах с агрессивной блокировкой Tor трафика провайдерами.
I came across an article that talks about the same thing but even more and when you go deeper.
Casino utan registrering https://casino-utan-registrering.se bygger pa en snabbare ide: du hoppar over kontoskapandet och gar direkt in via din bank-ID-verifiering. Systemet ordnar uppgifter och transaktioner i bakgrunden, sa anvandaren mots av en mer stromlinjeformad start. Det gor att hela upplevelsen far ett mer direkt, tekniskt och friktionsfritt upplagg utan extra formular.
I casino crypto https://crypto-casino-it.com sono piattaforme online che utilizzano valute digitali per transazioni rapide e sicure. Permettono di vedere in pratica i vantaggi della blockchain: trasparenza dei processi, assenza di intermediari, trasferimenti internazionali agevoli e un’interfaccia moderna, pensata per un’esperienza tecnologica degli utenti.
Casino utan svensk licens https://casinos-utan-licens.se ar onlineplattformar som drivs av operatorer med licens fran andra europeiska jurisdiktioner. De erbjuder ofta ett bredare utbud av tjanster och anvander egna regler for registrering och betalningar. For spelare innebar detta andra rutiner for sakerhet, verifiering och ansvarsfullt spelande.
Free Online Jigsaw Puzzle https://vds30504.bloggadores.com/37818489/play-high-quality-online-jigsaw-puzzles-for-free play anytime, anywhere. Huge gallery of scenic photos, art and animals, customizable number of pieces, autosave and full-screen mode. No registration required – just open the site and start solving.
Daftar sekarang di BEJOGAMING dan dapatkan bonus new member 50% untuk Slot Online, Live Casino, dan Sportbook.
Situs game online terpercaya dengan pembayaran kemenangan 100%.
Explore hypertrade swap and gain unlimited access to a modern, decentralized market. Trade derivatives, manage your portfolio, utilize analytics, and initiate trades in a next-generation ecosystem.
Choose hyper liquid as a convenient tool for trading and investing. The platform offers speed, reliability, advanced features, and fair pricing for cryptocurrency trading.
Use hyperliquid hyperevm for stable and efficient trading. The platform combines security, high liquidity, advanced solutions, and user-friendly functionality suitable for both beginners and professional traders.
Discover swap hyperevm a platform for fast and secure trading without intermediaries. Gain access to innovative tools, low fees, deep liquidity, and a transparent ecosystem for working with digital assets.
Choose hyper liquid — a platform for traders who demand speed and control: over 100 pairs per transaction, flexible orders, HL token staking, and risk management tools. Support for algorithmic strategies and advanced analytics.
Check out hyperliquid trading, a modern DEX with its own L1: minimal fees, instant order execution, and on-chain transparency. Ideal for those who want the speed of a CEX and the benefits of decentralization.
Открываешь бизнес? whitesquarepartners открытие бизнеса в оаэ полный пакет услуг: консультация по структуре, подготовка и подача документов, получение коммерческой лицензии, оформление рабочих виз, помощь в открытии корпоративного счета, налоговое планирование и пострегистрационная поддержка. Гарантия конфиденциальности.
You are a very smart person! 🙂
Хотите открыть компанию оаэ? Предоставим полный комплекс услуг: выбор free zone, регистрация компании, лицензирование, визовая поддержка, банковский счет и бухгалтерия. Прозрачные условия, быстрые сроки и сопровождение до полного запуска бизнеса.
peakclicks.click – Bookmarked this immediately, planning to revisit for updates and inspiration.
rankgrid.click – Bookmarked this immediately, planning to revisit for updates and inspiration.
clickforgehub.click – Content reads clearly, helpful examples made concepts easy to grasp.
Предлагаем создание холдингов оаэ для международного бизнеса: подбор free zone или mainland, разработка структуры владения, подготовка учредительных документов, лицензирование, банковское сопровождение и поддержка по налогам. Конфиденциальность и прозрачные условия работы.
Хочешь фонд? личные фонды оаэ — безопасный инструмент для защиты активов и наследственного планирования. Помогаем выбрать структуру, подготовить документы, зарегистрировать фонд, обеспечить конфиденциальность, управление и соответствие международным требованиям.
Профессиональное учреждение семейных офисов оаэ: от разработки стратегии управления семейным капиталом и выбора юрисдикции до регистрации, комплаенса, настройки банковских отношений и сопровождения инвестиционных проектов. Полная конфиденциальность и защита интересов семьи.
turborank.click – Color palette felt calming, nothing distracting, just focused, thoughtful design.
Хотите открыть счёт? открыть счет в банке оаэ Подбираем оптимальный банк, собираем документы, готовим к комплаенсу, сопровождаем весь процесс до успешного открытия. Поддерживаем предпринимателей, инвесторов и резидентов с учётом всех требований.
rapidboost.click – Navigation felt smooth, found everything quickly without any confusing steps.
Нужна виза инвестора в оаэ? Подберём оптимальный вариант — через бизнес, долю в компании или недвижимость. Готовим документы, сопровождаем на всех этапах, обеспечиваем корректное прохождение комплаенса и получение резидентского статуса.
Комплексные бухгалтерский учет в оаэ: финансовая отчётность, налоговые декларации, управление первичными документами, аудит, VAT и corporate tax. Обеспечиваем точность, своевременность и полное соответствие законодательству для стабильной работы вашего бизнеса.
Профессиональное налоговое консультирование оаэ: разбираем вашу ситуацию, подбираем оптимальную корпоративную и личную структуру, помогаем учесть требования местного законодательства, корпоративного налога и substance. Сопровождаем бизнес и инвестиции на постоянной основе.
Оформление золотая виза оаэ под ключ: анализ вашей ситуации, подбор оптимальной категории (инвестор, бизнес, квалифицированный специалист), подготовка документов, сопровождение подачи и продления статуса. Удобный формат взаимодействия и конфиденциальный сервис.
Профессиональная легализация документов в оаэ: нотариальное заверение, Минюст, МИД, консульства, сертифицированные переводы. Сопровождаем весь процесс от проверки документов до финального подтверждения. Подходит для компаний, инвесторов и частных клиентов.
Профессиональное консульское сопровождение оаэ для частных лиц и бизнеса: консультации по визовым и миграционным вопросам, подготовка обращений, запись в консульство, помощь при подаче документов и получении решений. Минимизируем риски отказов и задержек.
Помогаем открыть брокерский счет в оаэ: подбор надёжного брокера, подготовка документов, прохождение KYC, сопровождение подачи и активации. Подходит для частных инвесторов, семейных офисов и компаний. Доступ к мировым рынкам и комфортные условия работы с капиталом.
Предлагаем корпоративные услуги в оаэ для действующих и новых компаний: регистрация и перерегистрация, выпуск и передача долей, протоколы собраний, обновление лицензий, KYC и комплаенс. Обеспечиваем порядок в документах и соответствие требованиям регуляторов.
How long does it take you to write an article like this?
Woh I enjoy your content , saved to bookmarks!
Нужна поддержка по трудовым вопросам оаэ? Консультируем по трудовым договорам, рабочим визам, оформлению сотрудников, переработкам, отпускам и увольнениям. Готовим рекомендации, помогаем минимизировать риски штрафов и конфликтов между работодателем и работником.
Разрабатываем опционные планы в оаэ под ключ: анализ корпоративной структуры, выбор модели vesting, подготовка опционных соглашений, настройка механики выхода и выкупа долей. Помогаем выстроить прозрачную и понятную систему долгосрочной мотивации команды.
Corporate company bank account opening in uae made simple: we help choose the right bank, prepare documents, meet compliance requirements, arrange interviews and support the entire onboarding process. Reliable assistance for startups, SMEs, holding companies and international businesses.
Thanks for sharing the information. I found the information very useful. That’s a awesome story you posted. I will come back to scan some more.
Get your golden visa uae with full support: we analyse your profile, select the right category (investor, business owner, specialist), prepare a compliant file, submit the application and follow up with authorities. Transparent process, clear requirements and reliable guidance.
Разработка соглашения об управлении оаэ: фиксируем правила принятия решений, распределение ролей, отчётность и контроль результатов. Учитываем особенности вашей компании, отрасли и требований регуляторов. Помогаем выстроить устойчивую систему корпоративного управления.
Professional business setup uae: advisory on jurisdiction and licence type, company registration, visa processing, corporate bank account opening and ongoing compliance. Transparent costs, clear timelines and tailored solutions for your project.
Comprehensive consular support uae: embassy and consulate liaison, legalisation and attestation of documents, visa assistance, translations and filings with local authorities. Reliable, confidential service for expatriates, investors and corporate clients.
Comprehensive tax consultant dubai: advisory on corporate tax, VAT, group restructuring, profit allocation, substance and reporting obligations. We provide practical strategies to optimise taxation and ensure accurate, compliant financial management.
Trusted accounting firm dubai providing bookkeeping, financial reporting, VAT filing, corporate tax compliance, audits and payroll services. We support free zone and mainland companies with accurate records, transparent processes and full regulatory compliance.
Thank you, I have just been searching for information about this topic for ages and yours is the greatest I’ve discovered till now. But, what about the conclusion? Are you sure about the source?
Launch your fund setup uae with end-to-end support: structuring, legal documentation, licensing, AML/KYC compliance, corporate setup and administration. We help create flexible investment vehicles for global investors and family wealth platforms.
End-to-end corporate setup uae: company formation, trade licence, corporate documentation, visa processing, bank account assistance and compliance checks. We streamline incorporation and help establish a strong operational foundation in the UAE.
Need legalization of documents for uae? We manage the entire process — review, notarisation, ministry approvals, embassy attestation and translation. Suitable for business setup, visas, employment, education and property transactions. Efficient and hassle-free.
Comprehensive family office setup uae: from choosing the right jurisdiction and legal structure to incorporation, banking, policies, reporting and ongoing administration. Tailored solutions for families consolidating wealth, protecting assets and planning succession.
Set up a holding company in uae with full legal and corporate support. We help select the right jurisdiction, prepare documents, register the entity, coordinate banking and ensure compliance with substance, tax and reporting rules for international groups.
Kumpulan bukti kemenangan dan bukti transfer pembayaran lunas untuk member BEJOGAMING.
Lihat histori withdraw (WD) dan jackpot yang telah kami bayarkan 100%!.
Need a power of attorney uae? We draft POA documents, organise notary appointments, handle MOFA attestation, embassy legalisation and certified translations. Ideal for delegating authority for banking, business, real estate and legal procedures.
Open a brokerage account uae with full support. We review your goals, recommend regulated platforms, guide you through compliance, handle documentation and assist with activation. Ideal for stock, ETF, bond and multi-asset trading from a trusted jurisdiction.
Complete uae work visa support: from eligibility check and document preparation to work permit approval, medical tests and residence visa issuance. Ideal for professionals moving to Dubai, Abu Dhabi and other emirates for long-term employment.
Авиабилеты в Китай https://chinaavia.com по выгодным ценам: удобный поиск рейсов, сравнение тарифов, прямые и стыковочные перелёты, актуальные расписания. Бронируйте билеты в Пекин, Шанхай, Гуанчжоу и другие города онлайн. Надёжная оплата и мгновенная выдача электронного билета.
Need a will uae? We help structure inheritances, appoint executors and guardians, cover local and foreign assets and prepare documents in line with UAE requirements. Step-by-step guidance from first consultation to registration and safe storage of your will.
I would share your post with my sis.
I had highly recommend this blog to my good friend, it’s so good
Follow the journey that takes you light years from home. The Project Hail Mary PDF is an immersive experience. This digital book is perfect for escaping the mundane. Join the crew and leave Earth behind. https://projecthailmarypdf.top/ project hail mary pdf book
I like the helpful information you provide in your articles. I’ll bookmark your blog and check again here frequently. I am quite certain I’ll learn many new stuff right here! Best of luck for the next!
High-quality store here invites advertisers to our vast database of digital assets. A unique feature of this platform is our exclusive knowledge base, containing working guides regarding lead generation. Inside the guides, our team shares tips on using cloaking tools to maximize ROI for your daily work. The shop contains profiles of Twitter, Discord, LinkedIn for all needs: ranging from softregs up to trustworthy business managers with history.
https://t.me/s/officials_1xbet_1xbet
Descubre cocoacasino: tragamonedas clasicas y de video, juegos de mesa, video poker y jackpots en una interfaz intuitiva. Bonos de bienvenida, ofertas de recarga y recompensas de fidelidad, ademas de depositos y retiros rapidos y un atento servicio de atencion al cliente. Solo para adultos. Mayores de 18 anos.
знакомимся вместе https://rutiti.ru девушки и парни ищут друзей, наши блогеры и писатели отмечают, что это реально, серьезные отношения и встречи уже у многих удачны, мы все написали, читаем.
Platforma internetowa mostbet: zaklady przedmeczowe i na zywo, wysokie kursy, akumulatory, zaklady na sumy i handicapy, a takze popularne sloty i kasyno na zywo. Bonus powitalny, regularne promocje, szybkie wyplaty na karty i portfele.
Prodej reziva https://www.kup-drevo.cz v Ceske republice: siroky vyber reziva, stavebniho a dokoncovaciho reziva, tramu, prken a stepky. Dodavame soukromym klientum i firmam stalou kvalitu, konkurenceschopne ceny a dodavky po cele Ceske republice.
Best european vps. Only TOP European data centers in Estonia, Finland, Germany. All servers are GDPR compliant, blazing fast NVMe SSD drives, reliable network 10+ Gbps, selection of OS templates, 24/7 monitoring, easy remote management.
Вызов электрика https://vash-elektrik24.ru на дом в Москве: оперативный выезд, поиск и устранение неисправностей, установка розеток и выключателей, подключение техники, ремонт проводки. Квалифицированные мастера, точные цены, гарантия на работы и удобное время приезда.
Хочешь сдать авто? выкуп автомобилей срочно дорого быстро и безопасно: моментальная оценка, выезд специалиста, оформление сделки и мгновенная выплата наличными или на карту. Покупаем автомобили всех марок и годов, включая битые и после ДТП. Работаем без скрытых комиссий.
Looking for a university? specialities vitebsk university information for applicants about admission to state-funded and fee-paying programs, list of required documents, application deadlines, entrance examinations, targeted admissions, and dormitory accommodation. Find out how to become a student at Vitebsk State University.
помощь в написании курсовой [url=http://kupit-kursovuyu-24.ru/]http://kupit-kursovuyu-24.ru/[/url] .
Cryptocasino reviews https://crypto-casinos-canada.com in Canada – If you’re looking for fast BTC/ETH transactions and clear terms, cryptocasino reviews will help you evaluate which platforms offer transparent bonuses and consistent payouts.
BankID-fria kasinon https://casinos-utan-bankid.com Manga spelare forbiser hur mycket uttagsgranser och verifieringskrav varierar, men BankID-fria kasinon hjalper dig att jamfora bonusar, betalningsmetoder och tillforlitlighet.
Casinos, die Paysafecard https://paysefcard-casino-de.info akzeptieren: Viele Spieler in Deutschland mochten ihr Konto aufladen, ohne ihre Bankdaten anzugeben. Casinos, die Paysafecard akzeptieren, ermoglichen sichere Prepaid-Einzahlungen mit einem festen Guthaben. So behalten Sie die volle Kontrolle uber Ihre Ausgaben und konnen weiterhin Spielautomaten und Live-Dealer-Spiele spielen.
https://infolenta.com.ua/yak-diznatysia-sviy-taryfnyy-plan-kyivstar-5-sposobiv-pereviryty-aktyvnyy-taryf/
Проблемы с алкоголем? вывод из запоя адреса: анонимная помощь, круглосуточный выезд врача, детоксикация, капельницы, стабилизация состояния и поддержка. Индивидуальный подход, современные методы и контроль здоровья. Конфиденциально и безопасно.
Show More: https://stormevents.fr
Best selection of the day: https://jerezlecam.com
Learn more here: http://planeur-condom.fr
You have some helpful ideas! Maybe I should consider doing this by myself.
bukmacher internetowy mostbet casino oferuje szeroki wybor zakladow sportowych, zakladow na zywo i slotow od czolowych dostawcow. Oferuje szybka rejestracje, bonusy dla nowych graczy, przyjazna dla uzytkownika aplikacje mobilna, natychmiastowe wyplaty i calodobowa obsluge klienta.
Additional Information: https://www.opencart-france.com
Expand at the link: https://astra-hotel.ch
Expanded article here: https://www.escapadesnature.fr
How long does it take you to write an article like this?
clickmatic.click – Bookmarked this immediately, planning to revisit for updates and inspiration.
rankzilla.click – Mobile version looks perfect; no glitches, fast scrolling, crisp text.
rankpilotpro.click – Found practical insights today; sharing this article with colleagues later.
rankflare.click – Color palette felt calming, nothing distracting, just focused, thoughtful design.
rankorbit.click – Navigation felt smooth, found everything quickly without any confusing steps.
This is really interesting, You’re a very skilled blogger. I have joined your feed and look forward to seeking more of your fantastic post. Also, I have shared your website in my social networks!
I think this is among the so much vital info for me. And i’m happy reading your article. But wanna remark on few common issues, The site style is wonderful, the articles is really excellent : D. Just right job, cheers
What i discover troublesome is to find a weblog that may capture me for a minute however your blog is different. Bravo.
Details inside: https://sesameautisme-fc.fr
Самый интересный клик: https://wildlife.by
фен дайсон оригинал купить [url=https://www.fen-d-3.ru]фен дайсон оригинал купить[/url] .
курсовые купить [url=http://kupit-kursovuyu-21.ru]http://kupit-kursovuyu-21.ru[/url] .
порно отец и дочь [url=http://www.www.itworldcanada.com]порно отец и дочь[/url] .
заказать студенческую работу [url=https://kupit-kursovuyu-23.ru/]https://kupit-kursovuyu-23.ru/[/url] .
dyson стайлер купить спб [url=https://fen-d-3.ru]dyson стайлер купить спб[/url] .
помощь студентам курсовые [url=http://kupit-kursovuyu-25.ru/]http://kupit-kursovuyu-25.ru/[/url] .
курсовые работы заказать [url=https://kupit-kursovuyu-26.ru]курсовые работы заказать[/url] .
курсовой проект купить цена [url=www.kupit-kursovuyu-28.ru]курсовой проект купить цена[/url] .
дипломные работы на заказ [url=www.kupit-kursovuyu-27.ru/]www.kupit-kursovuyu-27.ru/[/url] .
rankthread.click – Content reads clearly, helpful examples made concepts easy to grasp.
як дізнатися хто мій сімейний лікар
mobilny mostbet mostbet casino
rankmint.click – Color palette felt calming, nothing distracting, just focused, thoughtful design.
rankzone.click – Pages loaded fast, images appeared sharp, and formatting stayed consistent.
rankburst.click – Color palette felt calming, nothing distracting, just focused, thoughtful design.
clickorigin.click – Color palette felt calming, nothing distracting, just focused, thoughtful design.
Женский портал https://forthenaturalwoman.com о жизни, красоте и вдохновении: мода, уход за собой, здоровье, отношения, карьера и личные финансы. Полезные статьи, честные обзоры, советы экспертов и истории реальных женщин. Присоединяйтесь к сообществу и находите идеи для себя каждый день.
Главные новости https://mynewsmonitor.com онлайн: самые важные события дня в сжатом и понятном формате. Политика, экономика, общество, мир, наука и культура. Краткие сводки, развёрнутые статьи, мнения экспертов и удобная лента, которая обновляется в режиме реального времени.
Актуальные и главные https://allnews.in.ua новости: короткие заметки о срочных событиях и развёрнутые аналитические материалы. Помогаем понять, что произошло, почему это важно и к чему может привести. Лента обновляется в течение дня, чтобы вы не упустили ничего значимого.
Главные новости https://newsline.in.ua онлайн: от срочных сообщений до глубоких обзоров и экспертных комментариев. Политика, экономика, безопасность, технологии и культура. Только проверенные факты и удобная лента, чтобы быстро ориентироваться во всём, что происходит.
dyson стайлер официальный сайт [url=www.fen-d-3.ru]dyson стайлер официальный сайт[/url] .
курсовой проект купить цена [url=http://kupit-kursovuyu-24.ru/]http://kupit-kursovuyu-24.ru/[/url] .
написание курсовых работ на заказ цена [url=http://www.kupit-kursovuyu-26.ru]http://www.kupit-kursovuyu-26.ru[/url] .
курсовая заказ купить [url=http://kupit-kursovuyu-25.ru/]курсовая заказ купить[/url] .
курсовая работа недорого [url=www.kupit-kursovuyu-21.ru/]www.kupit-kursovuyu-21.ru/[/url] .
Главные новости https://ukrnews.in.ua сегодня: политика, экономика, международные события, наука, культура и общественные темы. Оперативные сводки, анализ и подробные статьи. Полная картина дня, собранная в одном месте для удобного и быстрого чтения.
Все главные https://ua-news.com.ua новости в одном потоке: актуальные события, важные решения, прогнозы, мнения и аналитика. Помогаем понять, что стоит за заголовками, как события связаны между собой и почему они значимы. Обновления в режиме реального времени.
Новостной портал https://ua-today.com.ua с акцентом на достоверность: только проверенные источники, факты, комментарии экспертов и глубокая аналитика. Удобная лента событий, фильтры по темам, архив материалов и быстрый доступ к главному за день.
Современный авто https://cargurus.com.ua портал: свежие новости, премьеры, обзоры новых и подержанных автомобилей, тест-драйвы, советы по эксплуатации и страхованию. Удобный поиск по маркам и моделям, рейтинги, подборки и полезные материалы для автолюбителей любого уровня.
срочно курсовая работа [url=www.kupit-kursovuyu-23.ru]www.kupit-kursovuyu-23.ru[/url] .
You are my inspiration , I possess few web logs and very sporadically run out from to brand 🙁
покупка курсовой [url=https://kupit-kursovuyu-27.ru/]покупка курсовой[/url] .
курсовые работы заказать [url=kupit-kursovuyu-22.ru]kupit-kursovuyu-22.ru[/url] .
сайт заказать курсовую работу [url=http://kupit-kursovuyu-29.ru/]сайт заказать курсовую работу[/url] .
Женский портал https://womanblog.com.ua с актуальными темами: тренды моды и макияжа, здоровье, фитнес, питание, саморазвитие и вдохновляющие истории. Ежедневные обновления, рекомендации специалистов и подборки идей для повседневной жизни, карьеры и личного счастья.
Онлайн авто https://autoindustriya.com.ua портал: всё об автомобилях и автожизни. Обзоры и сравнения моделей, тест-драйвы, лайфхаки по ремонту и обслуживанию, информация о кредитах и лизинге, новости рынка. Помогаем выбрать машину, понять тонкости владения и сэкономить на содержании.
Современный новостной https://arguments.com.ua портал: главные новости дня, поясняющая аналитика, мнения экспертов и репортажи с мест событий. Лента в реальном времени, тематические рубрики, фото и видео. Помогаем разобраться в том, что происходит в стране и мире.
clickphase.click – Appreciate the typography choices; comfortable spacing improved my reading experience.
oficjalny mostbet mostbet pl
clickengineer.click – Overall, professional vibe here; trustworthy, polished, and pleasantly minimal throughout.
сайт для заказа курсовых работ [url=www.kupit-kursovuyu-28.ru]сайт для заказа курсовых работ[/url] .
viralcore.click – Overall, professional vibe here; trustworthy, polished, and pleasantly minimal throughout.
стайлер дайсон для волос купить официальный сайт с насадками цена [url=http://fen-d-3.ru/]http://fen-d-3.ru/[/url] .
Современный женский https://womanstyle.com.ua портал для тех, кто хочет успевать всё: стиль и красота, психология и отношения, материнство, дом, путешествия и работа. Практичные лайфхаки, чек-листы, подборки и мотивационные материалы, которые помогают заботиться о себе и жить в балансе.
порно инцест [url=www.www.london-irish.com]порно инцест[/url] .
Авто портал https://automotive-news.com.ua для тех, кто живёт автомобилями: новости автопрома, обзоры машин, тест-драйвы, советы по выбору и обслуживанию, сравнение моделей и подбор авто по параметрам. Фото, видео, мнения экспертов и реальные отзывы владельцев в одном месте.
Портал о ремонте https://remont-sam.com и строительстве: от подготовки проекта и сметы до отделки и декора. Подробные инструкции, обзоры инструментов, рейтинги материалов, фото-примеры и лайфхаки. Удобная навигация по темам помогает быстро найти нужное решение для вашего объекта.
Строительный портал https://garden-story.com для профессионалов и частных мастеров: статьи и инструкции по ремонту, отделке и строительству, обзоры материалов и инструментов, калькуляторы, сметы, фото-примеры и советы экспертов. Всё, чтобы грамотно спланировать и выполнить работы.
написать курсовую работу на заказ в москве [url=https://kupit-kursovuyu-24.ru/]kupit-kursovuyu-24.ru[/url] .
купить задание для студентов [url=www.kupit-kursovuyu-26.ru/]www.kupit-kursovuyu-26.ru/[/url] .
заказать курсовую работу спб [url=https://kupit-kursovuyu-25.ru/]kupit-kursovuyu-25.ru[/url] .
rankverse.click – Found practical insights today; sharing this article with colleagues later.
clickflux.click – Bookmarked this immediately, planning to revisit for updates and inspiration.
стоимость написания курсовой работы на заказ [url=kupit-kursovuyu-21.ru]kupit-kursovuyu-21.ru[/url] .
купить курсовая работа [url=http://kupit-kursovuyu-23.ru/]http://kupit-kursovuyu-23.ru/[/url] .
anal sex for gays [url=https://www.w20-germany.org/]anal sex for gays[/url] .
цена дайсон стайлер для волос с насадками официальный сайт купить [url=https://www.fen-d-3.ru]https://www.fen-d-3.ru[/url] .
купить курсовую сайт [url=https://kupit-kursovuyu-27.ru]купить курсовую сайт[/url] .
решение курсовых работ на заказ [url=http://www.kupit-kursovuyu-29.ru]решение курсовых работ на заказ[/url] .
купить курсовую москва [url=https://kupit-kursovuyu-28.ru/]купить курсовую москва[/url] .
онлайн сервис помощи студентам [url=http://www.kupit-kursovuyu-22.ru]http://www.kupit-kursovuyu-22.ru[/url] .
где можно заказать курсовую работу [url=http://kupit-kursovuyu-24.ru/]где можно заказать курсовую работу[/url] .
заказать курсовую срочно [url=www.kupit-kursovuyu-26.ru]заказать курсовую срочно[/url] .
онлайн сервис помощи студентам [url=https://www.kupit-kursovuyu-25.ru]https://www.kupit-kursovuyu-25.ru[/url] .
большая задница xxx видео секс порно [url=https://bedstespiludenomrofus.com]большая задница xxx видео секс порно[/url] .
курсовая заказать недорого [url=www.kupit-kursovuyu-21.ru]www.kupit-kursovuyu-21.ru[/url] .
купить дайсон стайлер с насадками для волос официальный сайт цена [url=https://fen-d-4.ru/]fen-d-4.ru[/url] .
помощь студентам курсовые [url=https://kupit-kursovuyu-27.ru]помощь студентам курсовые[/url] .
где можно заказать курсовую [url=http://www.kupit-kursovuyu-23.ru]http://www.kupit-kursovuyu-23.ru[/url] .
Quel est le meilleur casino en ligne France pour jouer en toute sécurité en 2025 ? Il faut dire qu’aujourd’hui, trouver un site de casino en ligne fiable n’est pas une mince affaire. Il est très facile de se perdre parmi l’offre grandissante des casinos français en ligne. Mais pas de panique, nous sommes là ! Dans ce guide, nos experts vous présentent un classement complet pour vous aider à choisir le casino en ligne gratuit ou en argent réel qui correspond à vos attentes à 100 %. Chez nous, pas d’embrouille ni de coup fourré. Notre credo ? Vous faire découvrir les meilleurs casinos en ligne France du moment pour vous faire profiter pleinement de vos jeux de casino favoris. Suivez le guide !
Строительный портал https://sovetremont.com с практическими советами: ремонт квартир, строительство домов, инженерные системы, отделка, фасады, кровля и благоустройство. Руководства, видео, расчёты и рекомендации экспертов, которые помогают экономить время и деньги.
Портал о строительстве https://stroyline.com и ремонте: пошаговые инструкции, обзоры материалов, калькуляторы, идеи планировок и дизайна, советы мастеров и реальные примеры. Помогаем спланировать работы, избежать типичных ошибок и сэкономить время и бюджет.
Свежие новости https://ukrportal.com.ua Украины и мира: политика, экономика, общество, происшествия, аналитика и авторские материалы. Оперативные обновления 24/7, проверенные факты и объективная подача. Следите за ключевыми событиями, которые формируют будущее страны и всего мира.
Онлайн-портал https://stroyinfo.com о строительстве и ремонте для владельцев квартир, домов и дач: полезные статьи, схемы, чек-листы, подбор материалов и техники, советы по отделке и инженерным системам. Всё, чтобы сделать ремонт своими руками или грамотно контролировать подрядчиков.
курсовая заказать [url=kupit-kursovuyu-29.ru]курсовая заказать[/url] .
заказать качественную курсовую [url=https://kupit-kursovuyu-28.ru/]заказать качественную курсовую[/url] .
покупка курсовой [url=www.kupit-kursovuyu-22.ru/]www.kupit-kursovuyu-22.ru/[/url] .
фен купить дайсон официальный [url=www.fen-d-4.ru/]фен купить дайсон официальный[/url] .
Новости Украины https://ukrinfo24.com.ua и мира: оперативная информация, разбор ключевых событий, интервью, репортажи и аналитика. Только проверенные источники и объективная подача. Будьте в курсе того, что происходит в стране и на международной арене прямо сейчас.
Актуальные новости https://ukrmedia24.com.ua Украины и мира в одном месте: главные события дня, обзоры, комментарии экспертов, репортажи и эксклюзивные материалы. Политика, экономика, технологии, культура и спорт. Быстро, достоверно и удобно для ежедневного чтения.
Лента новостей https://uavesti.com.ua Украины и мира: самые важные события дня, актуальные темы, экспертные оценки и глубокая аналитика. Удобный формат, быстрые обновления, проверенные данные. Политика, общество, экономика, культура и мировые тенденции — всё на одной платформе.
Все новости https://uanews24.com.ua Украины и мира — быстро, достоверно и понятно: события в политике, экономике, науке, культуре и спорте. Подробные обзоры, интервью и аналитика помогают увидеть полную картину происходящего. Ежедневные обновления и удобная навигация.
Сайт для женщин https://golosiyiv.kiev.ua которые ценят себя и своё время: полезные статьи о моде и уходе, психологии, детях, отношениях, работе и хобби. Подборки идей, гайды, чек-листы и вдохновляющие истории. Помогаем находить баланс между заботой о других и заботой о себе.
Онлайн-сайт https://funtura.com.ua для женщин любого возраста: тренды моды и макияжа, здоровый образ жизни, питание, фитнес, отношения и саморазвитие. Регулярные обновления, советы экспертов и вдохновляющие материалы, которые помогают чувствовать себя увереннее каждый день.
Онлайн женский https://womenclub.kr.ua портал для девушек и женщин любого возраста: статьи про красоту и уход, отношения, семью, детей, карьеру и хобби. Удобная навигация по разделам, полезные советы, тесты и подборки, которые помогают находить ответы на важные вопросы.
Сайт для женщин https://e-times.com.ua о жизни, красоте и вдохновении: мода, макияж, уход за собой, здоровье, отношения, семья и карьера. Практичные советы, обзоры, чек-листы и личные истории. Помогаем заботиться о себе, развиваться и находить новые идеи каждый день.
курсовая заказать [url=http://kupit-kursovuyu-29.ru]курсовая заказать[/url] .
официальный дайсон [url=www.fen-d-4.ru]www.fen-d-4.ru[/url] .
rankhero.click – Pages loaded fast, images appeared sharp, and formatting stayed consistent.
Журнал о животных https://zoo-park.com дикая природа и домашние питомцы. Познавательные материалы, фотоистории, редкие виды, повадки, экология и ответственное содержание. Понятные гайды по уходу, выбору питомца и безопасному общению с животными.
Журнал о животных https://myzoofriend.com советы по уходу за питомцами, здоровье, питание, воспитание и поведение. Обзоры кормов и аксессуаров, рекомендации ветеринаров, истории спасения и интересные факты о кошках, собаках и дикой природе.
Новостной портал https://infonews.com.ua с полным охватом событий: оперативная лента, большие тексты, интервью и аналитика. Политика, экономика, общество, технологии, культура и спорт. Обновления в режиме реального времени и удобная структура разделов для ежедневного чтения.
Авто портал https://just-forum.com с полным набором разделов: новости, обзоры, тесты, подержанные авто, советы по покупке, эксплуатации и продаже автомобиля. Честные мнения экспертов, реальные отзывы, подборки лучших моделей и удобная навигация по маркам и классам.
maximaclick.click – Content reads clearly, helpful examples made concepts easy to grasp.
clickpeak.click – Appreciate the typography choices; comfortable spacing improved my reading experience.
курсовые купить [url=https://www.kupit-kursovuyu-22.ru]https://www.kupit-kursovuyu-22.ru[/url] .
clickstreamer.click – Overall, professional vibe here; trustworthy, polished, and pleasantly minimal throughout.
rankquest.click – Bookmarked this immediately, planning to revisit for updates and inspiration.
Женский портал https://dreamywoman.com о стиле жизни: красота и уход, мода, здоровье, психология, отношения, семья и карьера. Полезные статьи, подборки, чек-листы и вдохновляющие истории. Всё, чтобы заботиться о себе, развиваться и находить идеи на каждый день.
Портал о даче https://sovetyogorod.com саде и огороде: статьи и гайды по уходу за почвой, посадке, обрезке, мульчированию и борьбе с болезнями растений. Обзоры инструментов, идеи для теплиц и компостеров, ландшафтные решения и полезные советы для урожая.
Новостной портал https://ua24news.com.ua Украины: оперативные события дня, политика, экономика, общество, происшествия и международная повестка. Проверенные факты, аналитика, интервью и репортажи. Узнавайте главное о жизни страны и мира в удобном формате 24/7.
Современный женский https://nova-woman.com сайт для девушек и женщин: тренды моды и макияжа, питание, фитнес, эмоциональное здоровье, отношения и саморазвитие. Понятные советы, обзоры, тесты и подборки, которые помогают чувствовать себя увереннее и счастливее.
официальный сайт дайсон стайлер для волос купить цена с насадками [url=fen-d-4.ru]fen-d-4.ru[/url] .
Онлайн-новостной https://novosti24online.com.ua портал Украины: лента новостей, авторские колонки, интервью, обзоры и аналитика. Политика, социальные вопросы, экономика, международные события — всё оперативно, достоверно и понятно каждому читателю.
Главные новости https://smi24.com.ua Украины в одном месте: актуальные события, мнения аналитиков, расследования, репортажи и эксклюзивные материалы. Наш новостной портал помогает понимать, что происходит в стране и как события влияют на жизнь людей.
Новости Украины https://mediaportal.com.ua в удобном формате: лента последних событий, разделы по темам, авторские колонки и аналитика. Освещаем политику, экономику, безопасность, социальные вопросы и международные отношения. Портал для тех, кто хочет получать полную картину дня.
Новостной портал https://mediasfera.com.ua Украины для тех, кто хочет быть в курсе: свежие публикации, разбор ключевых событий, экспертные оценки и подробные материалы о политике, экономике и обществе. Быстрые обновления, удобная навигация и проверенная информация.
Женский сайт https://loveliness.kyiv.ua с практичным контентом: уход за кожей и волосами, стильные образы, дом и уют, дети, работа и финансы. Полезные рекомендации, экспертные материалы и вдохновение без лишней «воды». Удобная навигация по рубрикам и регулярные обновления.
Универсальный авто https://kolesnitsa.com.ua портал для водителей и будущих владельцев: обзоры автомобилей, сравнение комплектаций, тест-драйвы, советы по ТО и ремонту, подбор шин и аксессуаров. Актуальные новости, аналитика рынка и материалы, которые помогают делать осознанный выбор.
Онлайн женский https://lugor.org.ua сайт для тех, кто ценит своё время: гайды по красоте и стилю, психологические советы, идеи для дома, отношения, материнство и карьерные цели. Подборки, чек-листы, истории и советы, которые реально работают в повседневной жизни.
Украинский новостной https://mediacentr.com.ua портал с акцентом на объективность и факты: свежие новости, аналитические статьи, интервью и спецпроекты. Освещаем жизнь страны, реформы, фронт, дипломатию и повседневные истории людей. Всё важное — на одной площадке.
rankboostx.click – Mobile version looks perfect; no glitches, fast scrolling, crisp text.
clickalley.click – Loved the layout today; clean, simple, and genuinely user-friendly overall.
propelclick.click – Found practical insights today; sharing this article with colleagues later.
clickanchor.click – Appreciate the typography choices; comfortable spacing improved my reading experience.
clickattic.click – Overall, professional vibe here; trustworthy, polished, and pleasantly minimal throughout.
Новостной портал https://infosmi.com.ua Украины: главные события дня, оперативная лента, аналитика и мнения экспертов. Политика, экономика, общество, война и международные новости. Чёткая подача, удобная структура разделов и регулярные обновления в режиме 24/7.
Онлайн новостной https://expressnews.com.ua портал для тех, кто хочет быть в курсе: свежие новости, обзоры, спецпроекты и авторские материалы. Политика, бизнес, общество, наука, культура и спорт — всё в одном месте, с понятной подачей и регулярными обновлениями 24/7.
Украинский новостной https://medicalanswers.com.ua портал: главные новости, расширенные обзоры, разбор решений власти, ситуации на фронте и жизни граждан. Фото, видео, инфографика и мнения экспертов помогают глубже понять происходящее в Украине и вокруг неё.
Портал смачних ідей https://mallinaproject.com.ua прості рецепти на щодень, святкові страви, десерти, випічка та корисні перекуси. Покрокові інструкції, поради, підбірки меню й лайфхаки для кухні. Готуйте швидко, смачно та з натхненням разом із нами.
Портал о технологиях https://technocom.dp.ua новости IT и гаджетов, обзоры смартфонов и ноутбуков, сравнения, тесты, инструкции и лайфхаки. Искусственный интеллект, кибербезопасность, софт, цифровые сервисы и тренды — простым языком и с пользой для читателя.
Надёжный эвакуатор Дмитров — помощь на дороге 24 часа. Эвакуация легковых и коммерческих авто, кроссоверов и мотоциклов. Современная техника, фиксированная стоимость, быстрый выезд по городу и области.
get x рабочий [url=https://t.me/getx_site_official/]t.me/getx_site_official[/url] .
Мужской портал https://phizmat.org.ua о стиле, здоровье, отношениях и деньгах. Свежие новости, честные обзоры гаджетов и авто, тренировки и питание, подборки фильмов и игр, лайфхаки для работы и отдыха — без воды и кликбейта. Советы, инструкции и тесты каждый день.
Туристический портал https://prostokarta.com.ua о путешествиях по России и миру: маршруты, города и страны, советы туристам, визы и перелёты, отели и жильё, обзоры курортов, идеи для отдыха, лайфхаки, личный опыт и актуальные новости туризма.
Срочный эвакуатор Дмитров: оперативный выезд, подача от 20 минут. Перевозка автомобилей после ДТП и поломок, межгород, бережная транспортировка. Работаем круглосуточно, без скрытых доплат, принимаем заявки в любое время.
Женский журнал https://eternaltown.com.ua о стиле, красоте и здоровье. Мода и тренды, уход за кожей и волосами, отношения и психология, дом и семья, карьера и саморазвитие. Полезные советы, подборки, интервью и вдохновение каждый день.
дайсон стайлер для волос с насадками официальный сайт цена купить [url=https://www.stajler-d.ru]https://www.stajler-d.ru[/url] .
дайсон стайлер для волос официальный сайт цена купить с насадками [url=https://fen-d-1.ru/]fen-d-1.ru[/url] .
дайсон фен [url=http://stajler-d-1.ru]дайсон фен[/url] .
дайсон стайлер для волос официальный сайт цена купить с насадками [url=https://stajler-d-3.ru/]stajler-d-3.ru[/url] .
купить фен дайсон оригинал [url=https://stajler-d-2.ru/]купить фен дайсон оригинал[/url] .
фен дайсон цена купить [url=fen-ds-1.ru]fen-ds-1.ru[/url] .
купить фен dyson оригинал [url=https://fen-d-2.ru/]купить фен dyson оригинал[/url] .
дайсон фен купить в москве оригинал [url=stajler-d.ru]stajler-d.ru[/url] .
купить дайсон стайлер с насадками официальный сайт для волос цена [url=https://www.fen-ds-2.ru]https://www.fen-ds-2.ru[/url] .
официальный dyson [url=www.fen-ds-3.ru/]www.fen-ds-3.ru/[/url] .
выполнение курсовых работ [url=http://www.kupit-kursovuyu-30.ru]выполнение курсовых работ[/url] .
цена дайсон стайлер для волос с насадками официальный сайт купить [url=fen-ds-4.ru]fen-ds-4.ru[/url] .
дайсон стайлер для волос с насадками цена официальный сайт купить [url=www.dn-fen-1.ru]www.dn-fen-1.ru[/url] .
дайсон фен оригинал цена [url=www.dn-fen-2.ru/]дайсон фен оригинал цена[/url] .
dyson com официальный сайт [url=https://dn-fen-3.ru]https://dn-fen-3.ru[/url] .
digitalshift.click – Found practical insights today; sharing this article with colleagues later.
Нужно межевание? межевание участка спб профессиональное межевание участка для оформления и регистрации прав. Геодезические измерения, уточнение границ, межевой план, сопровождение в Росреестре. Опытные кадастровые инженеры, точность и прозрачная стоимость.
Профессиональное агентство интернет маркетинга для малого и среднего бизнеса. Настройка рекламы, продвижение сайтов, рост заявок и продаж. Аналитика, оптимизация и постоянный контроль эффективности рекламных кампаний.
Продажа тяговых аккумуляторных https://e-battery.ru батарей для вилочных погрузчиков – надёжные решения для стабильной работы складской техники. Подбор АКБ по параметрам, доставка, установка, долгий ресурс и высокая производительность для интенсивной эксплуатации
Нужен аккумулятор? купить аккумулятор для авто в спб подбор АКБ по марке и модели авто, большой выбор ёмкости и пускового тока. Доставка, самовывоз, выгодные условия и помощь в установке.
Expanded article here: https://podcasts.apple.com/om/podcast/christmas-puzzles/id1698189758?i=1000740676982
clicklance.click – Navigation felt smooth, found everything quickly without any confusing steps.
rankjet.click – Overall, professional vibe here; trustworthy, polished, and pleasantly minimal throughout.
nextclicks.click – Pages loaded fast, images appeared sharp, and formatting stayed consistent.
ranklogic.click – Loved the layout today; clean, simple, and genuinely user-friendly overall.
фен купить дайсон оригинал [url=http://stajler-d-3.ru]фен купить дайсон оригинал[/url] .
официальный магазин dyson [url=http://www.fen-ds-3.ru]http://www.fen-ds-3.ru[/url] .
дайсон стайлер для волос с насадками официальный сайт цена купить [url=www.fen-ds-1.ru]www.fen-ds-1.ru[/url] .
dyson фен [url=fen-ds-2.ru]dyson фен[/url] .
написание учебных работ [url=http://kupit-kursovuyu-30.ru/]написание учебных работ[/url] .
фен dyson купить оригинал [url=http://fen-ds-4.ru]фен dyson купить оригинал[/url] .
стайлер дайсон цена для волос с насадками официальный сайт купить [url=https://fen-d-1.ru/]https://fen-d-1.ru/[/url] .
Курсы арабского языка https://shams-arab.ru блог с полезными статьями, упражнениями и примерами. Разбираем грамматику, лексику, диалоги и особенности языка. Делимся советами по обучению, мотивации и выбору формата занятий.
Сервис помощи https://students-helper.ru студентам с учебными работами. Курсовые, контрольные, рефераты, отчёты и презентации. Индивидуальный подход, соблюдение сроков, доработки по требованиям преподавателя и конфиденциальность.
стайлер дайсон [url=https://dn-fen-3.ru]стайлер дайсон[/url] .
Школа БПЛА https://obucheniebpla.ru обучение управлению беспилотными летательными аппаратами с нуля и для продвинутых. Практика полётов, основы безопасности, навигация, аэрофотосъёмка и подготовка операторов дронов по современным стандартам.
дайсон купить стайлер для волос с насадками цена официальный сайт [url=www.stajler-d-2.ru]www.stajler-d-2.ru[/url] .
Обучение родителей https://mother-massage.ru массажу и гимнастике для детей от рождения до года. Практические занятия, безопасные техники, развитие моторики и укрепление здоровья малыша. Поддержка специалиста, пошаговые рекомендации и уверенность родителей.
Образовательный блог https://za-obrazovanie.ru о методиках обучения и развитии навыков. Статьи о преподавании, педагогике, оценивании, мотивации и работе с детьми и взрослыми. Практика, кейсы и полезные материалы.
стайлер дайсон цена для волос с насадками официальный сайт купить [url=http://dn-fen-2.ru/]http://dn-fen-2.ru/[/url] .
официальный dyson [url=http://dn-fen-1.ru]http://dn-fen-1.ru[/url] .
dyson фен оригинал [url=dn-fen-4.ru]dyson фен оригинал[/url] .
дайсон фен оригинал цена [url=https://www.stajler-d-1.ru]дайсон фен оригинал цена[/url] .
стайлер дайсон для волос цена с насадками официальный сайт купить [url=http://stajler-d.ru/]http://stajler-d.ru/[/url] .
дайсон официальный сайт интернет [url=http://fen-d-2.ru]http://fen-d-2.ru[/url] .
фен дайсон оригинал купить [url=http://stajler-d-3.ru/]фен дайсон оригинал купить[/url] .
стайлер дайсон [url=https://fen-ds-3.ru]стайлер дайсон[/url] .
заказать практическую работу недорого цены [url=https://kupit-kursovuyu-30.ru]заказать практическую работу недорого цены[/url] .
стайлер дайсон купить в спб [url=fen-ds-2.ru]fen-ds-2.ru[/url] .
dyson фен оригинал купить [url=www.dn-fen-3.ru]dyson фен оригинал купить[/url] .
фен дайсон купить официальный [url=www.dn-fen-4.ru/]фен дайсон купить официальный[/url] .
дайсон фен [url=https://www.fen-ds-4.ru]дайсон фен[/url] .
стайлер дайсон [url=fen-ds-1.ru]fen-ds-1.ru[/url] .
дайсон официальный сайт фен [url=dn-fen-2.ru]dn-fen-2.ru[/url] .
Daftar sekarang di BEJOGAMING dan dapatkan bonus new member 50%
untuk Slot Online, Live Casino, dan Sportbook. Situs game online terpercaya dengan pembayaran kemenangan 100%.
Great post. Just a heads up – I am running Ubuntu with the beta of Firefox and the navigation of your blog is kind of broken for me.
La plateforme telecharger 1xbet apk: paris sportifs en ligne, matchs de football, evenements en direct et statistiques. Description du service, marches disponibles, cotes et principales fonctionnalites du site.
Site web 1xbet congo – paris sportifs en ligne sur le football et autres sports. Propose des paris en direct et a l’avance, des cotes, des resultats et des tournois. Description detaillee du service, des fonctionnalites du compte et de son utilisation au Congo.
дайсон стайлер для волос купить официальный сайт цена с насадками [url=https://dn-fen-1.ru/]https://dn-fen-1.ru/[/url] .
Site web de parifoot rd congo: paris sportifs, championnats de football, resultats des matchs et cotes. Informations detaillees sur la plateforme, les conditions d’utilisation, les fonctionnalites et les evenements sportifs disponibles.
дайсон официальный сайт в москве [url=http://fen-d-1.ru]http://fen-d-1.ru[/url] .
La plateforme en ligne telecharger 1xbet burkina faso: paris sportifs en ligne, matchs de football, evenements en direct et statistiques. Description du service, marches disponibles, cotes et principales fonctionnalites du site.
дайсон фен купить [url=https://stajler-d-2.ru]дайсон фен купить[/url] .
официальный сайт дайсон стайлер для волос купить цена с насадками [url=stajler-d-3.ru]stajler-d-3.ru[/url] .
Application mobile telecharger 1xbet burkina faso. Paris sportifs en ligne, football et tournois populaires, evenements en direct et statistiques. Presentation de l’application et de ses principales fonctionnalites.
стайлер дайсон для волос с насадками цена купить официальный сайт [url=stajler-d-1.ru]stajler-d-1.ru[/url] .
фен купить дайсон официальный [url=www.stajler-d.ru]www.stajler-d.ru[/url] .
стайлер дайсон цена для волос с насадками официальный сайт купить [url=fen-d-2.ru]fen-d-2.ru[/url] .
дайсон официальный сайт интернет [url=www.dn-fen-4.ru/]www.dn-fen-4.ru/[/url] .
дайсон официальный сайт интернет магазин в москве [url=https://fen-ds-3.ru/]https://fen-ds-3.ru/[/url] .
покупка курсовых работ [url=https://kupit-kursovuyu-30.ru/]покупка курсовых работ[/url] .
фен dyson купить [url=fen-ds-2.ru]фен dyson купить[/url] .
clicklyst.click – Found practical insights today; sharing this article with colleagues later.
dyson фен купить [url=https://dn-fen-3.ru/]dyson фен купить[/url] .
ranknova.click – Color palette felt calming, nothing distracting, just focused, thoughtful design.
clickspider.click – Content reads clearly, helpful examples made concepts easy to grasp.
growthlane.click – Loved the layout today; clean, simple, and genuinely user-friendly overall.
rankstack.click – Found practical insights today; sharing this article with colleagues later.
стайлер дайсон купить в спб [url=https://fen-ds-4.ru]стайлер дайсон купить в спб[/url] .
дайсон стайлер официальный сайт [url=https://fen-ds-1.ru/]fen-ds-1.ru[/url] .
Профессиональные курсы инъекционной косметологии москва теория, практика, безопасность и современные подходы к эстетическим процедурам. Помогаем получить уверенные навыки и системные знания для работы.
Образовательный блог https://educationruss.ru об обучении за границей. Университеты и колледжи, языковые курсы, условия поступления, стоимость, документы и жизнь студентов. Полезные статьи и рекомендации для абитуриентов и родителей.
Школа блогеров https://vdskill.ru и видеотехнологий для авторов и предпринимателей. Создание видео, сторителлинг, монтаж и продвижение. Практические занятия, поддержка наставников и актуальные инструменты для роста.
Блог Елены Беляевой https://bestyleacademy.ru профессионального стилиста. Разборы гардероба, капсульные коллекции, советы по стилю и актуальным трендам. Практика, вдохновение и понятные рекомендации для женщин и мужчин.
оригинальный фен дайсон [url=dn-fen-2.ru]dn-fen-2.ru[/url] .
стайлер дайсон официальный сайт [url=www.dn-fen-1.ru/]www.dn-fen-1.ru/[/url] .
dyson com официальный сайт [url=http://fen-d-1.ru/]http://fen-d-1.ru/[/url] .
фен дайсон официальный сайт цена [url=http://dn-fen-4.ru]http://dn-fen-4.ru[/url] .
дайсон официальный сайт россия [url=http://www.stajler-d-2.ru]http://www.stajler-d-2.ru[/url] .
дайсон стайлер для волос купить официальный сайт цена с насадками [url=http://www.stajler-d-1.ru]http://www.stajler-d-1.ru[/url] .
фен dyson официальный сайт [url=http://www.fen-d-2.ru]http://www.fen-d-2.ru[/url] .
фен дайсон купить в спб [url=http://stajler-d.ru]http://stajler-d.ru[/url] .
Недавно обратились за 3D-печать прототипа, так как хотели протестировать конструкцию до производства. Менеджеры и инженеры подробно проконсультировали, и мы получили грамотную помощь на старте. Время реализации проекта по-настоящему впечатлили, при этом качество напечатанных деталей оказалось идеальным. Подобранные составы оправдали себя на 100%. Общая стоимость приятно удивила, особенно учитывая качество печати и внимание к деталям. Мы остались довольны и советуем всем, кто ищет 3D-печать высокого уровня – услуги 3D принтера. Все изделия проходят проверку перед отправкой клиенту.
Контрактная разработка электроники позволяет быстро реализовать идеи в готовые устройства. Инженеры создают схемы, печатные платы и программное обеспечение, затем контролируют сборку и тестирование. Такой подход актуален для стартапов и крупных компаний http://urikukaksa.com/bbs/board.php?bo_table=free&wr_id=231316
Технология ускоряет тестирование и отладку электронных устройств.
дайсон купить стайлер официальный сайт [url=https://fen-dn-kupit.ru/]fen-dn-kupit.ru[/url] .
rankloom.click – Pages loaded fast, images appeared sharp, and formatting stayed consistent.
rankmaximo.click – Bookmarked this immediately, planning to revisit for updates and inspiration.
swiftboost.click – Bookmarked this immediately, planning to revisit for updates and inspiration.
clickrealm.click – Loved the layout today; clean, simple, and genuinely user-friendly overall.
ultraclicks.click – Mobile version looks perfect; no glitches, fast scrolling, crisp text.
Профессиональное обучение плазмолифтингу. Осваиваем современные техники, стандарты безопасности и нюансы работы с пациентами. Теория, практика и поддержка на всех этапах обучения.
Hi, I just hopped over to your web-site through StumbleUpon. Not somthing I might typically browse, but I liked your views none the less. Thanks for making something worthy of reading through.
фен купить дайсон оригинал [url=www.fen-dn-kupit.ru/]www.fen-dn-kupit.ru/[/url] .
Neironica https://neironica.ru онлайн?платформа с ИИ?инструментами для создания Контент-завода, и автоматизации публикации статей, постов и видео во все соцсети
инъекционная гидроизоляция многоквартирный дом [url=http://inekczionnaya-gidroizolyacziya1.ru/]http://inekczionnaya-gidroizolyacziya1.ru/[/url] .
ремонт бетонных конструкций гарантия [url=remont-betonnykh-konstrukczij-usilenie.ru]remont-betonnykh-konstrukczij-usilenie.ru[/url] .
Подключали интернет на дачу для удаленной работы и онлайн встреч. Мобильный 4G справляется с задачей отлично. Связь устойчивая даже при нагрузке нескольких устройств. Настройка прошла быстро и без лишних вопросов. Очень удобное решение для загородного дома: https://podklychi.ru/
Neironica https://neironica.ru онлайн?платформа с ИИ?инструментами для создания Контент-завода, и автоматизации публикации статей, постов и видео во все соцсети
Current recommendations: https://docs.google.com/presentation/d/1p-auz6o4uzqadxzcvoguymglfesym4wooeo_f1b6zvc/edit?usp=sharing
Application 1xbet telecharger 1xbet
1xbet en ligne 1xbet rdc telecharger
Version Android de 1xbet 1xbet cd apk
фен дайсон купить официальный сайт [url=https://fen-dn-kupit.ru/]https://fen-dn-kupit.ru/[/url] .
Современная Стоматология в Воронеже лечение кариеса, протезирование, имплантация, профессиональная гигиена и эстетика улыбки. Квалифицированные специалисты, точная диагностика и забота о пациентах.
Nice blog here! Also your web site loads up very fast! What host are you using? Can I get your affiliate link to your host? I wish my web site loaded up as fast as yours lol
дайсон стайлер для волос цена с насадками официальный сайт купить [url=www.fen-dn-kupit-1.ru/]www.fen-dn-kupit-1.ru/[/url] .
типография печать визиток [url=https://dzen.ru/a/aTBxq5NJAQ5rNagc/]dzen.ru/a/aTBxq5NJAQ5rNagc[/url] .
печать уф на стекле [url=https://teletype.in/@alexd78/1ukt8kUZIEn/]teletype.in/@alexd78/1ukt8kUZIEn[/url] .
кружка с логотипом купить [url=https://dzen.ru/a/aTakePgcFg8RJbIM/]dzen.ru/a/aTakePgcFg8RJbIM[/url] .
дайсон фен цена официальный сайт [url=http://www.fen-dn-kupit-2.ru]http://www.fen-dn-kupit-2.ru[/url] .
ежедневник с логотипом [url=https://teletype.in/@alexd78/JpFJ1NJvu9K/]teletype.in/@alexd78/JpFJ1NJvu9K[/url] .
dyson стайлер купить спб [url=http://fen-dn-kupit.ru/]http://fen-dn-kupit.ru/[/url] .
clickamplify.click – Content reads clearly, helpful examples made concepts easy to grasp.
Любишь играть? web games – ваш путеводитель в мире популярных онлайн игр. Мы собрали для вас актуальную информацию из мира онлайн игр на каждый день. На сайте вы сможете найти самые последние новости об играх, свежие обзоры и видео топовых игр, увлекательные истории и литературу по различным игровым вселенным и персонажам, а также почитать гайды по вашей любимой онлайн игре.
Читать расширенную версию: 10 советов, как выбрать хорошего врача: ключ к вашему здоровью
clickcrafted.click – Color palette felt calming, nothing distracting, just focused, thoughtful design.
webreach.click – Loved the layout today; clean, simple, and genuinely user-friendly overall.
clicklegend.click – Bookmarked this immediately, planning to revisit for updates and inspiration.
marketingsignal.click – Navigation felt smooth, found everything quickly without any confusing steps.
стайлер дайсон купить официальный сайт [url=http://fen-dn-kupit-2.ru/]стайлер дайсон купить официальный сайт[/url] .
Интернет на даче был нужен срочно, и мобильное решение оказалось самым быстрым. Специалисты приехали оперативно и всё установили. Сигнал усилили антенной. Интернет работает стабильно. Отличный сервис и результат https://podklychi.ru/
официальный сайт дайсон фен [url=https://fen-dn-kupit-1.ru]https://fen-dn-kupit-1.ru[/url] .
Центр печатных услуг «Копирыч» https://kopirych.by предоставляет комплексные услуги нанесения печати на бумагу, а также ткани. Дополнительно мы специализируемся на изготовлении продукции для рекламы и бизнеса. Использование современного технического оборудования и безопасных материалов обеспечивает не только быстрый но и качественный заказ.
гидроизоляция подвала снаружи цены [url=www.gidroizolyacziya-czena.ru/]www.gidroizolyacziya-czena.ru/[/url] .
гидроизоляция подвала снаружи цены [url=https://www.gidroizolyacziya-podvala-iznutri-czena1.ru]гидроизоляция подвала снаружи цены[/url] .
стоимость услуг экскаватора погрузчика [url=www.arenda-ekskavatora-pogruzchika-6.ru/]стоимость услуг экскаватора погрузчика[/url] .
дайсон официальный сайт в москве [url=http://fen-dn-kupit-3.ru/]дайсон официальный сайт в москве[/url] .
мелбет россия онлайн ставки на спорт [url=https://v-bux.ru/]мелбет россия онлайн ставки на спорт[/url] .
ставки на спорт мелбет официальный сайт [url=https://v-bux.ru/]ставки на спорт мелбет официальный сайт[/url] .
online casino online [url=https://wwwpsy.ru/]online casino online[/url] .
chicken road игра перейди дорогу [url=https://kurica2.ru/]chicken road игра перейди дорогу[/url] .
мелбет ру промокод [url=https://melbetbonusoffers.ru/]мелбет ру промокод[/url] .
Главные новости Пензы https://inpenza.ru оперативно и достоверно. Мы освещаем все значимые события, происходящие в Пензе и Пензенской области. Важные объявления, афиша, полезная информация для каждого жителя. Ваш надежный источник новостей.
Журнал о строительстве https://prostostroy.com Ваш гид в мире стройки и ремонта. Актуальные тренды, экспертные советы, обзоры материалов и технологий. От фундамента до крыши – все, что нужно знать для успешного проекта.
Если интересуют лицензионные казино Украины, полезно смотреть свежие обзоры и рейтинги. Казино онлайн на реальные деньги с выводом — оптимальный вариант. Сайт topovye-kazino-onlajn.biz.ua помогает быстро выбрать казино. Список онлайн казино помогает выбрать лучшее без лишних рисков.
Реальное онлайн казино отличается прозрачными правилами.
Самые популярные онлайн казино обычно на слуху. Онлайн казино без лицензии лучше обходить стороной. Казино онлайн с выводом денег без проблем — редкость. Рейтинг казино онлайн полезен даже опытным игрокам.
Все о медицине https://zapisnapriemrostov.ru и здоровье в одном месте! Получите доступ к достоверным статьям, рекомендациям специалистов и полезным лайфхакам для поддержания отличного самочувствия. Будьте в курсе и живите полной жизнью!
Строительство и ремонт https://ctoday.ru всё, что нужно знать. Планируете стройку или обновление? Наш сайт – ваш надежный помощник. Актуальная информация о материалах, технологиях, дизайне и юридических аспектах. С нами ремонт станет проще и приятнее!
Хороший рейтинг казино реально помогает отсеять сомнительные сайты. Топ онлайн казино обычно предлагают быстрые выплаты и нормальную поддержку. Сайт topovye-kazino-onlajn.biz.ua помогает быстро выбрать казино. Онлайн казино на грн — удобное решение для Украины.
Казино официальный сайт — первый признак надежности.
Онлайн казино для Украины обычно адаптированы под местные платежи. Казино онлайн рейтинг лучших позволяет избежать ошибок. Казино онлайн лучшие — это не только бонусы, но и выплаты. Рейтинг казино онлайн полезен даже опытным игрокам.
стайлер дайсон для волос с насадками официальный сайт купить цена [url=http://www.fen-dn-kupit-1.ru]http://www.fen-dn-kupit-1.ru[/url] .
melbet sports [url=https://v-bux.ru/]melbet sports[/url] .
ставки на спорт мелбет официальный сайт [url=https://v-bux.ru/]ставки на спорт мелбет официальный сайт[/url] .
Заказывали печать рекламных проспектов и получили именно тот результат, который ожидали. Бумага выбрана идеально под наш формат, цвета яркие и стойкие. Тираж был большим, но компания справилась быстро. Упаковка надежная, ничего не помялось. Сервис на высоком уровне – типография печать баннеров
dyson фен оригинал [url=http://fen-dn-kupit-3.ru]dyson фен оригинал[/url] .
Тюмень сегодня https://kfaktiv.ru главные события города! Узнайте о последних новостях, которые формируют жизнь Тюмени. От городских инициатив до культурных событий и важных объявлений – будьте в курсе всего, что происходит в нашем любимом городе. Ваша порция актуальной информации!
мелбет бонусы при регистрации [url=https://melbetbonusoffers.ru/]мелбет бонусы при регистрации[/url] .
melbet [url=https://kurica2.ru/]melbet[/url] .
Сияющая кожа https://omaske.ru и роскошные локоны – легко! Откройте секреты природы для красоты. Наши домашние маски для лица и волос подарят вам натуральный уход, глубокое питание и видимый результат. Забудьте о химии, почувствуйте силу трав и фруктов!
Всё о секретах ПО https://software-expert.ru ваш гид. Откройте для себя мир скрытых возможностей, эффективных стратегий и неочевидных лайфхаков в разработке программного обеспечения. Поймите, как создавать и использовать ПО на новом уровне.
мелбет казино слоты [url=https://wwwpsy.ru/]мелбет казино слоты[/url] .
Все о провайдерах https://providers.by Беларуси! Актуальные новости, честные отзывы пользователей и детальные обзоры тарифов. Поможем выбрать лучшего интернет-провайдера, анализируем рынок и тенденции. Будьте в курсе всех изменений!